这是《机器学习中的数学基础》系列的第12篇,也是微积分的第5篇。

今天我们来关注指数函数的求导,不过在此之前,先来看一个工业界和设计界都会用到的自然常数e,它也和指数函数有着密切的联系。

那么,什么是自然常数e?它的定义如下:

导数是e的负x次方的原函数_导数是e的2x次方原函数_e的导数是多少

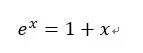
也就是说,当x趋于0时,上面式子的值就是自然常数e。好,现在我们把上式做一个变形,得到:

导数是e的2x次方原函数_导数是e的负x次方的原函数_e的导数是多少

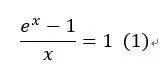
然后我们把1移到左边,两边再同时除以x,得到:

e的导数是多少_导数是e的负x次方的原函数_导数是e的2x次方原函数

好,让我们记住上面这个(1)式,一会求导要用到它。

接下来就进入正题了,我们要对指数函数求导。先举一个特殊的例子y=e^x,它的导数求出后,就可以推广到更一般的指数函数了。

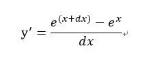
根据导数的定义,我们给自变量x一个微小增量dx,可以得到:

e的导数是多少_导数是e的负x次方的原函数_导数是e的2x次方原函数

我们把上式展开,然后把e^x提出来,就得到:

e的导数是多少_导数是e的2x次方原函数_导数是e的负x次方的原函数

观察上式,你会发现e^x右边的那一堆,不就是我们的(1)式吗(这里dx趋于0)?而(1)式的值为1e的导数是多少,因此y=e^x的导数就是它本身,e^x。

我们把这个特殊的例子搞定之后,再来看更一般化的指数函数y=a^x(a为任意实数)兼职赚钱,它的导数又该怎么求呢?

这里需要一个小技巧,我们可以把a写成e^ln a(其中ln是以e为底的自然对数),因此我们有:

e的导数是多少_导数是e的负x次方的原函数_导数是e的2x次方原函数

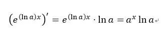
那么,e^(ln a)x又该怎么求导呢?很容易看出,这是一个复合函数,根据链式求导法则e的导数是多少,我们可以得到:

e的导数是多少_导数是e的负x次方的原函数_导数是e的2x次方原函数

别忘了,a=e^ln a。因此,给定任意一个指数函数y=a^x,它的导数就是(a^x)ln a。

OK,大功告成。欢迎留言讨论。

发表回复

您的电子邮箱地址不会被公开。 必填项已用*标注