本文的目标读者是想快速掌握矩阵、向量求导法则的学习者,主要面向矩阵、向量求导在机器学习中的应用。因此,本教程而非一份严格的数学教材,而是希望帮助读者尽快熟悉相关的求导方法并在实践中应用。另外,本教程假定读者熟悉一元函数的求导。

本文公式太多,微信上展示会有一些问题。所以本文适合读者了解矩阵、向量求导,而详细地学习与分析请下载本文的PDF版。

PDF 下载地址:

所谓矩阵求导,本质上只不过是多元函数求导,仅仅是把把函数的自变量以及求导的结果排列成了矩阵的形式,方便表达与计算 而已。复合函数的求导法则本质上也是多元函数求导的链式法则,只是将结果整理成了矩阵的形式。只是对矩阵的每个分量逐元素 地求导太繁琐而且容易出错,因此推导并记住一些常用的结论在实践中是非常有用的。

矩阵求导本身有很多争议,例如:

不同教材对此处理的结果不一样,这属于不同的 Layout Convention。本文以不转置为主,即求导结果与原矩阵/向量同型,术语叫 Mixed Layout。

最自然的结果当然是把结果定义成三维乃至四维张量,但是这并不好算。也有一些绕弯的解决办法 (例如把矩阵抻成一个 向量等),但是这些方案都不完美 (例如复合函数求导的链式法则无法用矩阵乘法简洁地表达等)。在本教程中,我们认为,这三种情形下导数没有定义。凡是遇到这种情况,都通过其他手段来绕过,后面会有具体的示例。

因此,本教程的符号体系有可能与其他书籍或讲义不一致,求导结果也可能不一致 (例如相差一次矩阵转置,或者是结果矩阵是否平铺成向量等),使用者需自行注意。另外,本教程中有很多笔者自己的评论,例如关于变形的技巧、如何记忆公式、如何理解其他的教程中给出的和本教程中形式不同的结果等。

文中如有错漏,欢迎联系 ruanchong_ruby@163.com,我会尽快订正。

符号表示

综上所述,本文进行如下约定:

对上述约定的理解

变量多次出现的求导法则

规则:若在函数表达式中,某个变量出现了多次,可以单独计算函数对自变量的每一次出现的导数,再把结果加起来。

这条规则很重要,尤其是在推导某些共享变量的模型的导数时很有用,例如 antoencoder with tied weights(编码和解码部分的权重矩阵互为转置的自动编码器)和卷积神经网络(同一个 feature map 中卷积核的权重在整张图上共享)等。

举例(该规则对向量和矩阵也是成立的,这里先用标量举一个简单的例子):假设函数表达式是

向量内积 外积_向量内积的性质_向量的内积

,可以先把三个 x 看成三个不同的变量,即把 f 的表达式看成

向量的内积_向量内积的性质_向量内积 外积

,然后分别计算

向量的内积_向量内积的性质_向量内积 外积

,最后总的导数就是这三项加起来:

向量内积 外积_向量内积的性质_向量的内积

,此时再把 x 的下标抹掉并化简,就得到 6x+1。熟悉这个过程之后,可以省掉添加下标再移除的过程。

如果用计算图(computation graph,描述变量间依赖关系的示意图,后面会举例)的语言来描述本条法则,就是:若变量 x 有多条影响函数 f 的值的路径,则计算

向量内积的性质_向量的内积_向量内积 外积

时需要对每条路经求导最后再加和。 如果想更多地了解计算图和反向传播,推荐阅读 [Colah 君的文章]()。其中详细讲述了计算图如何工作,不仅讲反向传播还讲了前向传播(前向传播对于目前的机器学习算法来说似乎没有太大的用处,但是对于加深计算图的理解很有帮助。RNN 有一种学习算法叫 RTRL 就是基于前向传播的,不过近年来不流行了)。

有了上面的基础,我们就可以推导 Batch normalization(以下简称 BN)的求导公式了。 BN 的计算过程为:

向量内积的性质_向量内积 外积_向量的内积

其中 m 是批的大小,x_1 到 x_m 分别是 m 个不同样本对于某个神经元的输入,l 是这个批的总的损失函数,所有变量都是标量。求导的第一步是画出变量依赖图,如下所示(根据左边的变量可以计算出右边的变量,如果为了强调,也可以在边上添加从左向右的箭头):

左侧,右上,右下分别是三种不同的画法(读者也可以尝试其他的画法):左边的图是把所有变量 x_i 都画了出来,比较清楚,如果想不清楚变量之间是如何相互依赖的,这样画可以帮助梳理思路;右上是我自创的一种方法,借鉴了概率图模型中的盘记号(plate notation),把带下标的变量用一个框框起来,在框的右下角指明重复次数;右下我只画了一个局部,只是为了说明在有些资料中,相同的变量(如本例中的

)只出现一次向量的内积,而非像左图那样出现多次,从而图中会出现环。不过要不要复制同一个变量的多个拷贝没有本质的区别。在右下这种表示法中,如果要求 partial σ^2 除以 partial x_i,需要对

向量内积 外积_向量内积的性质_向量的内积

向量的内积_向量内积的性质_向量内积 外积

这两条路径求导的结果做加和。(事实上,这种带下标的画法有点儿丑,因为我们现在的计算图里的变量都是标量……如果用 X 表示

组成的向量,计算图会更简洁,看起来更舒服。不过这种丑陋的表示对于我们现在的目的已经够用了。 )

BN 原论文中也给出了反向传播的公式,不过我们不妨试着自己手算一遍:

常用公式

向量求导的链式法则

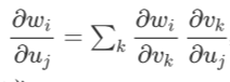
易发现雅克比矩阵的传递性:若多个向量的依赖关系为

向量内积 外积_向量的内积_向量内积的性质

,则:

向量的内积_向量内积的性质_向量内积 外积

证明:只需逐元素求导即可。

向量内积的性质_向量内积 外积_向量的内积

,即

向量内积的性质_向量的内积_向量内积 外积

向量的内积_向量内积的性质_向量内积 外积

元等于矩阵

的 i 行 和 矩阵

的第 j 列的内积,这正是矩阵乘法的定义。

注:将两项乘积的和转化成向量内积或矩阵相乘来处理,是很常用的技巧。

雅克比矩阵的传递性可以很容易地推广到多层中间变量的情形,采用数学归纳法证明即可。

若中间变量都是向量,但最后的结果变量是一个实数,例如变量依赖关系形如

,则:

由雅克比矩阵的传递性知:

再根据 f 退化时雅克比矩阵和函数导数的关系,有:

以上三式相结合,可以得到如下链式法则:

上面的结果显然也可以推广到任意多层复合的情形(可用于 RNN 的 BPTT 的推导)。

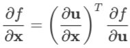
上面的公式是把导数视为行向量(即以

的形式)给出的。如果需要把导数视为列向量,只需将公式两边同时转置即可。由于实践中复合一次的情形较常用,这里只给出将变量视为列向量时复合一次的公式:

向量内积的性质_向量的内积_向量内积 外积

,则:

向量内积的性质_向量的内积_向量内积 外积

或写作

这里再给出一个特例:若变量依赖关系为

向量内积的性质_向量的内积_向量内积 外积

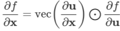
,u 和x 维度相同且

向量内积 外积_向量的内积_向量内积的性质

仅由

计算出而与 x 的其他分量无关,则易知

是对角阵,所以上面的公式可以化简为:

向量内积的性质_向量内积 外积_向量的内积

其中

向量内积 外积_向量的内积_向量内积的性质

表示取对角矩阵 D 的对角线上的元素组成列向量,

向量的内积_向量内积 外积_向量内积的性质

表示两个向量逐元素相乘。

由于最终的结果是两个向量逐元素相乘,所以也可以交换一下相乘的顺序,写成:

向量内积的性质_向量的内积_向量内积 外积

本条规则在神经网络中也很常用,常见的情形包括但不限于:逐元素地应用激活函数

向量内积的性质_向量的内积_向量内积 外积

,以及现代 RNN 单元中的门限操作(以 LSTM 为例:

* 因为依赖关系简单,本公式也可以直接根据导数逐分量的定义直接推出来:

向量的内积_向量内积 外积_向量内积的性质

此即前述公式的分量形式。

实值函数对向量求导

向量数乘求导公式

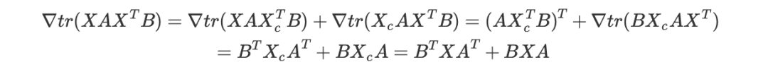
矩阵迹求导

向量内积 外积_向量的内积_向量内积的性质

(X_c 表示将 X 的此次出现视作常数)

矩阵求导的链式法则

其他公式

常见技巧及注意事项

算例

最小二乘法

向量的内积_向量内积 外积_向量内积的性质

F 范数的求导公式推导

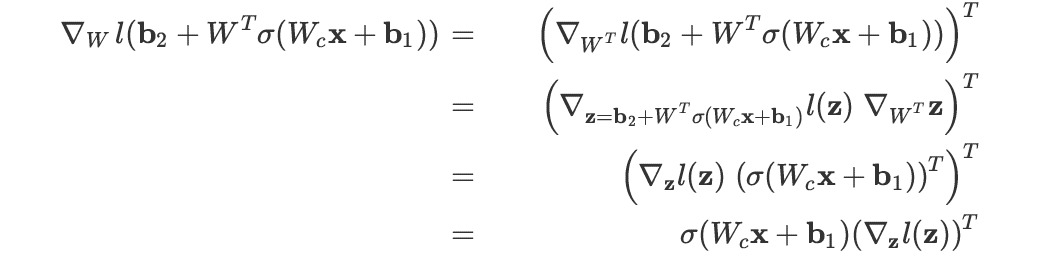
PRML (3.33) 求导

向量的内积_向量内积的性质_向量内积 外积

关于 W 的导数。

说明:上面的

的结果应当是一个向量,但是希腊字母打不出加粗的效果。

上述几步的依据分别是:

最后一步的化简的思考过程是把对 n 求和视为两个分块矩阵的乘积:

第一个矩阵是分块行向量,共 1xN 个块,且第 n 个分量是

。因此第一个矩阵是

向量的内积_向量内积的性质_向量内积 外积

第二个矩阵是分块列向量,共 Nx1 个块,且第 n 个分量是

。因此向量的内积,第二个矩阵是:

,注意第二个等号的推导过程中,前一项能够拆开是因为它被看做两个分块矩阵的乘积,两个分块矩阵分别由 Nx1和 1×1 个块组成。

这种方法虽然比较繁琐,但是更具有一般性。

RNN 的梯度消失爆炸问题

Autoencoder with Tied-weight

向量内积的性质_向量内积 外积_向量的内积

,其中第三个等号里定义

发表回复

您的电子邮箱地址不会被公开。 必填项已用*标注