提到lnx,我们都知道它是eˣ的反函数。而提到eˣ我们要先说说无理数e的意义,(参见以前写的文章——自然对数的意义 ),这里对无理数e的意义再作个解释:

先看下面这个事例:

一个公司年利润1元,年利润每年增长50%,那两年后年利润为1×(1+0.5)²=2.25元,这是典型的复利计算模型。。

再比如,一个银行年利率100%,1元存一年本利和为2元。假设利率与时间成比例(一年利率100%,半年利率50%,1/4​​年利率25%……)。存半年本利和变为原来本利和的1+0.5=1.5倍,一定的金额存半年就会变成原金额的1.5倍,存两次半年(存一次后将本利和再存入),金额会变成原金额的(1+0.5)²​​倍;一定金额存1/3年,会变成原金额的1+1/3=4/3倍,存三次1/3年(每次本利和都再存入),金额会变成原金额的(1+1/3)³倍……

x平方的导数_sin平方导数_平方导数调换顺序会变化吗

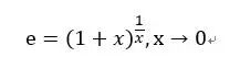
这就说明数列{Xn}是单调增加的,这个数列同时还是有上界的,因为,如果Xn​​的展开式中各项括号内的数用较大的数1代替,得

x平方的导数_平方导数调换顺序会变化吗_sin平方导数

这说明这个数列的极限是存在的,我们一般用e来表示该极限的值,e≈2.718281828,即

x平方的导数_sin平方导数_平方导数调换顺序会变化吗

因为若每时每刻银行都付利息,我们每时每刻又再存入,那一年后的本利和是原金额的e倍,设1元钱这样存x年后本利和是y,则存两年y=e²x平方的导数,存x年y=eˣ​​.

我们接着再看这样一个例子:

如图:若P、Q两点分别以相同的初速度(初速度为每秒1个单位长度)x平方的导数,在两具有相同单位长度的数轴上运动。点Q沿数轴CD(C为原点)作匀速运动,设CQ=x;点P沿数轴OB(O为原点)从A点(OA=1)开始运动,它在任何时刻的速度值等于它离O点的距离,设OP=y,设时间为t(单位秒),易知t与x数值上相等。令P与Q同时分别从A网赚项目,C出发,我们能否求出y与x的函数关系呢?

平方导数调换顺序会变化吗_sin平方导数_x平方的导数

我们知道P点的运动特点是在任意时刻以y值为运动速度,t=0时,y=1.能不能求出t=1时y的值呢?

sin平方导数_平方导数调换顺序会变化吗_x平方的导数

当t=1秒时,CQ=1,将这一秒无限细分成n份,每份1/n​​秒,设第一个1/n​​秒位移值为a₁,第二个1/n​​秒位移值为a₂,……设数列{an}前n项和为Sn​​,t=1时y=S​​n.

平方导数调换顺序会变化吗_sin平方导数_x平方的导数

类比上面存款模型可知:t=x时y=eˣ​​,这便是以e为底的指数函数,由y=eˣ​​知x=lny(lnx与eˣ互为反函数)。

在P点的路程-时间(s−t/y−x)函数中,每一点的路程为该点处的速度(即每一点的函数值为该点的变化率,速度就是路程对时间的变化率)。

sin平方导数_x平方的导数_平方导数调换顺序会变化吗

平方导数调换顺序会变化吗_x平方的导数_sin平方导数

我们再来看看从另一个方向的分析:

平方导数调换顺序会变化吗_sin平方导数_x平方的导数

如图,我们如何求出由x=1,x=2,x轴和y=x围成的曲边梯形面积?

由定积分知该曲边梯形面积为

sin平方导数_平方导数调换顺序会变化吗_x平方的导数

(参见前面写的文章——怎样理解定积分)。按照分割、近似代替、求和、取极限的步骤可以求得

sin平方导数_平方导数调换顺序会变化吗_x平方的导数

按现有数学方法,几乎无法直接对该式求出结果,但根据牛顿莱布尼茨公式,我们可以先找到1/x​​的原函数再求该曲边梯形面积。

sin平方导数_x平方的导数_平方导数调换顺序会变化吗

sin平方导数_平方导数调换顺序会变化吗_x平方的导数

如图a从-8 到 0图象的变化:

平方导数调换顺序会变化吗_sin平方导数_x平方的导数

可以看出图象在逐渐接近y=lnx的图象,这也符合前面的结果(lnx求导是1/x​​)。

我们还可以这样理解:

根据互为反函数的函数的求导法则:

x平方的导数_平方导数调换顺序会变化吗_sin平方导数

这个求导法则怎么理解呢?要知道,导函数表示原函数的变化率,导数值即原函数图象切线的斜率。两函数互为反函数,则它们的图象关于y=x轴对称,f(x)图象在(a,b)处的切线与g(x)图象在(b,a)处的切线也关于y=x轴对称,则两切线的斜率互为倒数,(因为两切线的倾斜角和为90ᐤ或和为270ᐤ,切线斜率代表导数值,所以两函数的导函数互为倒数。

平方导数调换顺序会变化吗_x平方的导数_sin平方导数

sin平方导数_平方导数调换顺序会变化吗_x平方的导数

前面已经分析了y=eˣ​​以自身的函数值为导数值,即(eˣ)′=eˣ,设eˣ=y=f(x),则f′(x)=f(x)=y,设其反函数lny=x=g(y),

sin平方导数_平方导数调换顺序会变化吗_x平方的导数

这样我们也自然得出

x平方的导数_平方导数调换顺序会变化吗_sin平方导数

到这里你明白为什么lnx求导是1/x了吗?

发表回复

您的电子邮箱地址不会被公开。 必填项已用*标注