教师资格笔试结束后120分的试卷多少分及格互联网项目,大多数考生都吐槽考试难度太大,很担心自己考不过。其实,教资笔试能否及格取决于成绩排名,跟考试难度无关。

根据往年官方公布的数据,笔试通过率大概为 30%(并非绝对,但波动不大)。

首先,要明确,笔试通过率大概为 30%指的是全国的通过率。教育部考试中心根据考试标准和当次考试情况,确定各科目全国统一的合格分数线。由于各个科目难度存在差异,其合格分数线不尽相同。为统一各科目的合格分数线,采用线性转换的方法,将考生 0~150 分量表上的原始成绩换算为 0~120 分量表上的转换分,并使各科目的合格分数线统一转换为 70 分。

假设2020年下半年参加笔试的考生有 1000 万,成绩达到 90 分的考生有 320 万,成绩达到 91 分的考生有 290 万。以 300 万作为参考值,那么 290 万考生比 320 万考生更为接近 300 万。所以,该次笔试有 290 万考生合格,卷面分达到 91 分的考生,笔试成绩合格。该次全国笔试通过率为 29 %。

分数转换方法如下:

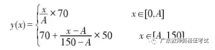
设某科目原始成绩合格分数线为 A(0

试卷多少分及格_试卷满分120多少及格_120分的试卷多少分及格

举例来说,设两个科目的合格分数线分别为 A1和 A2,则转换分 y(x) 关于原始成绩x的函数图像如图1所示:

试卷满分120多少及格_120分的试卷多少分及格_试卷多少分及格

通过上述线性转换,各科目的合格分数线均转换为70分120分的试卷多少分及格,且转换不改变考生成绩的高低顺序。原始成绩低于合格分数线的考生,换算后的转换分在70分以下;原始成绩高于合格分数线的考生,换算后的转换分在70分以上。

试卷多少分及格_120分的试卷多少分及格_试卷满分120多少及格

公众平台自助答疑须知

发表回复

您的电子邮箱地址不会被公开。 必填项已用*标注