1、常用截面几何与力学特征表

均布荷载弯矩计算公式_钢结构力学计算公式_钢结构力学说明

钢结构力学说明_钢结构力学计算公式_均布荷载弯矩计算公式

钢结构力学说明_钢结构力学计算公式_均布荷载弯矩计算公式

钢结构力学说明_均布荷载弯矩计算公式_钢结构力学计算公式

注:1.I称为截面对主轴(形心轴)的截面惯性矩(mm4)。基本计算公式如下:

2.W称为截面抵抗矩(mm3),它表示截面抵抗弯曲变形能力的大小,基本计算公式如下:

3.i称截面回转半径(mm)网赚项目,其基本计算公式如下:

4.上列各式中,A为截面面积(mm2),y为截面边缘到主轴(形心轴)的距离(mm),I为对主轴(形心轴)的惯性矩。

5.上列各项几何及力学特征均布荷载弯矩计算公式,主要用于验算构件截面的承载力和刚度。

2、单跨梁的内力及变形表

2.1 简支梁的反力、剪力、弯矩、挠度

2.2 悬臂梁的反力、剪力、弯矩和挠度

钢结构力学说明_钢结构力学计算公式_均布荷载弯矩计算公式

2.3 一端简支另一端固定梁的反力、剪力、弯矩和挠度

钢结构力学计算公式_钢结构力学说明_均布荷载弯矩计算公式

钢结构力学计算公式_均布荷载弯矩计算公式_钢结构力学说明

钢结构力学说明_均布荷载弯矩计算公式_钢结构力学计算公式

2.4 两端固定梁的反力、剪力、弯矩和挠度

均布荷载弯矩计算公式_钢结构力学说明_钢结构力学计算公式

钢结构力学说明_钢结构力学计算公式_均布荷载弯矩计算公式

2.5 外伸梁的反力、剪力、弯矩和挠度

钢结构力学说明_钢结构力学计算公式_均布荷载弯矩计算公式

均布荷载弯矩计算公式_钢结构力学计算公式_钢结构力学说明

均布荷载弯矩计算公式_钢结构力学说明_钢结构力学计算公式

3.等截面连续梁的内力及变形表

3.1 二跨等跨梁的内力和挠度系数

钢结构力学计算公式_钢结构力学说明_均布荷载弯矩计算公式

均布荷载弯矩计算公式_钢结构力学计算公式_钢结构力学说明

注:1.在均布荷载作用下:M=表中系数×ql2;V=表中系数×ql;。

2.在集中荷载作用下:M=表中系数×Fl;V=表中系数×F;。

[例1] 已知二跨等跨梁l=5m,均布荷载q=11.76kN/m,每跨各有一集中荷载F=29.4kN,求中间支座的最大弯矩和剪力。

[解] MB支=(-0.125×11.76×52)+(-0.188×29.4×5)

=(-36.75)+(-27.64)=-64.39kN·m

VB左=(-0.625×11.76×5)+(-0.688×29.4)

=(-36.75)+(-20.23)=-56.98kN

[例2] 已知三跨等跨梁l=6m,均布荷载q=11.76kN/m,求边跨最大跨中弯矩。

[解] M1=0.080×11.76×62=33.87kN·m。

3.2 三跨等跨梁的内力和挠度系数

均布荷载弯矩计算公式_钢结构力学说明_钢结构力学计算公式

均布荷载弯矩计算公式_钢结构力学说明_钢结构力学计算公式

钢结构力学说明_均布荷载弯矩计算公式_钢结构力学计算公式

注:1.在均布荷载作用下:M=表中系数×ql2;V=表中系数×ql;。

2.在集中荷载作用下:M=表中系数×Fl;V=表中系数×F;。

3.3四跨等跨连续梁内力和挠度系数

均布荷载弯矩计算公式_钢结构力学计算公式_钢结构力学说明

注:同三跨等跨连续梁。

3.4 五跨等跨连续梁内力和挠度系数

注:同三跨等跨连续梁。

3.5 二不等跨梁的内力系数

钢结构力学说明_钢结构力学计算公式_均布荷载弯矩计算公式

注:1.M=表中系数×ql21;V=表中系数×ql1;

2.(Mmax)、(Vmax)表示它为相应跨内的最大内力。

3.6 三不等跨梁内力系数

均布荷载弯矩计算公式_钢结构力学说明_钢结构力学计算公式

注:1.M=表中系数×ql21;V=表中系数×ql1;

2.(Mmax)、(Vmax)为荷载在最不利布置时的最大内力。

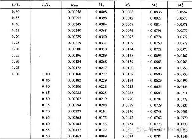
4.双向板在均布荷载作用下的内力及变形系数表

符号说明如下:

刚度

式中 E——弹性模量;

h——板厚;

ν——泊松比;

ω、ωmax——分别为板中心点的挠度和最大挠度;

Mx——为平行于lx方向板中心点的弯矩;

My——为平行于ly方向板中心点的弯矩;

Mx0——固定边中点沿lx方向的弯矩;

My0——固定边中点沿ly方向的弯矩。

正负号的规定:

弯矩——使板的受荷面受压者为正;

挠度——变位方向与荷载方向相同者为正。

4.1 四边简支

均布荷载弯矩计算公式_钢结构力学说明_钢结构力学计算公式

4.2 三边简支,一边固定

钢结构力学计算公式_钢结构力学说明_均布荷载弯矩计算公式

4.3 两边简支,两边固定

钢结构力学计算公式_均布荷载弯矩计算公式_钢结构力学说明

4.4 一边简支,三边固定

钢结构力学说明_钢结构力学计算公式_均布荷载弯矩计算公式

4.4 四边固定

钢结构力学说明_钢结构力学计算公式_均布荷载弯矩计算公式

4.5 两边简支,两边固定

钢结构力学说明_均布荷载弯矩计算公式_钢结构力学计算公式

5.拱的内力计算表

5.1各种荷载作用下双铰抛物线拱计算公式

钢结构力学计算公式_均布荷载弯矩计算公式_钢结构力学说明

注:表中的K为轴向力变形影响的修正系数。

(1)无拉杆双铰拱

1)在竖向荷载作用下的轴向力变形修正系数

均布荷载弯矩计算公式_钢结构力学计算公式_钢结构力学说明

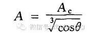
式中 Ic——拱顶截面惯性矩;

Ac——拱顶截面面积;

A——拱上任意点截面面积。

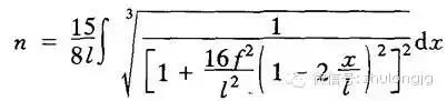
当为矩形等宽度实腹式变截面拱时,公式I=Ic/cosθ所代表的截面惯性矩变化规律相当于下列的截面面积变化公式:

均布荷载弯矩计算公式_钢结构力学说明_钢结构力学计算公式

此时,上式中的n可表达成如下形式:

钢结构力学说明_钢结构力学计算公式_均布荷载弯矩计算公式

下表中列出了矩形等宽度实腹式变截面拱的n值。

钢结构力学计算公式_均布荷载弯矩计算公式_钢结构力学说明

2)在水平荷载作用下的轴向力变形修正系数均布荷载弯矩计算公式,近似取

K=1

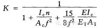
(2)带拉杆双铰拱

1)在竖向荷载作用下的轴向力变形修正系数

钢结构力学计算公式_均布荷载弯矩计算公式_钢结构力学说明

式中 E——拱圈材料的弹性模量;

E1——拉杆材料的弹性模量;

A1——拉杆的截面积。

2)在水平荷载作用下的轴向力变形修正系数(略去拱圈轴向力变形影响)

钢结构力学计算公式_均布荷载弯矩计算公式_钢结构力学说明

式中 f——为矢高;

l——为拱的跨度。

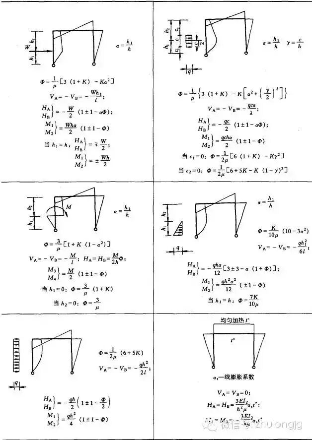
6.刚架内力计算表

内力的正负号规定如下:

V——向上者为正;

H——向内者为正;

M——刚架中虚线的一面受拉为正。

6.1 “┌┐”形刚架内力计算表(一)

钢结构力学说明_钢结构力学计算公式_均布荷载弯矩计算公式

钢结构力学说明_钢结构力学计算公式_均布荷载弯矩计算公式

6.2“┌┐”形刚架内力计算表(二)

钢结构力学说明_钢结构力学计算公式_均布荷载弯矩计算公式

6.3“

”形刚架的内力计算表

钢结构力学计算公式_均布荷载弯矩计算公式_钢结构力学说明

钢结构力学计算公式_钢结构力学说明_均布荷载弯矩计算公式

发表回复

您的电子邮箱地址不会被公开。 必填项已用*标注