51学习网
  • 首页
  • 网赚项目
  • 吸粉引流
  • AI课程
  • 电商运营
  • 脚本源码
  • 综合教程
  • 免费专区
  • 升级VIP
  • 站长加盟
登录

符号

半角字符怎么输入 数字符号变大只了?别慌,只是“全角”和“半角”跟你开玩笑;)
生活百科

半角字符怎么输入 数字符号变大只了?别慌,只是“全角”和“半角”跟你开玩笑;)

可能有的人会认识全角就是中文状态下,半角符号就是英文状态下的符号。相同点:全角和半角都是编码...
2年前 670
上箭头符号怎么打出来 Excel箭头符号你知道怎么输入吗?
生活百科

上箭头符号怎么打出来 Excel箭头符号你知道怎么输入吗?

在工作中,有时需要输入箭头符号,如←↑→↓↖↙↗↘↕,你知道输入方法吗?输入箭头有好几种方法...
2年前 4.3K
上箭头符号怎么打出来 ←↑→↓↖↙↗↘↕怎么打出来?
生活百科

上箭头符号怎么打出来 ←↑→↓↖↙↗↘↕怎么打出来?

在工作中,有时需要输入箭头符号,如←↑→↓↖↙↗↘↕,你知道输入方法吗?输入箭头有好几种方法...
2年前 4.3K
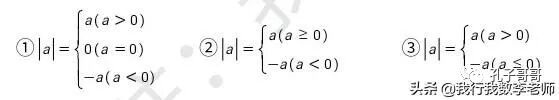
绝对值怎么打 七年级上册数学:数轴、相反数和绝对值提高练习,收藏打印做一做
生活百科

绝对值怎么打 七年级上册数学:数轴、相反数和绝对值提高练习,收藏打印做一做

数的绝对值记作|a|。|”,求一个数的绝对值,就是根据性质去掉绝对值符号.④任何一个有理数都...
2年前 1.0K
除以的符号 ## 数据在内存中的存储方式原理
生活百科

除以的符号 ## 数据在内存中的存储方式原理

在计算机中,所有的数据都是以二进制的形式存储在内存中的。由于补码的优越性,目前计算机中存储有...
2年前 197
英文顿号怎么打 没有顿号和书名号,英文标点符号你真会用吗?
生活百科

英文顿号怎么打 没有顿号和书名号,英文标点符号你真会用吗?

英语中的标点符号你真的会正确使用吗?1、英文标点符号后要有空格在使用中文输入法的时候,每个标...
2年前 356
格子论文查重官网 2018毕业论文最全攻略!排版+论文+查重……你想要的都在这里!
生活百科

格子论文查重官网 2018毕业论文最全攻略!排版+论文+查重……你想要的都在这里!

论文格式——图:论文排版详细攻略核心观点如此,下面从样式、自动编号及页码三个角度,详细说明论...
3年前 364
正方形打勾的符号 超实用!Word文档在方框内打勾的6个技巧!
生活百科

正方形打勾的符号 超实用!Word文档在方框内打勾的6个技巧!

此时,即可输入一个方框内打钩的符号了。提示:Wingdings2字体下,各个字母及数字打出来...
3年前 2
十进制转十六进制计算器 认识Java及Java环境配置
生活百科

十进制转十六进制计算器 认识Java及Java环境配置

环境变量的配置:二进制:由两个基本数字0,1组成,运算规律是逢二进一.计算机都使用二进制表示...
3年前 339
度符号°c 看懂数控图纸上面的符号,So,easy!!!
生活百科

度符号°c 看懂数控图纸上面的符号,So,easy!!!

模具图面常见符号的含义:机械制图中常见的符号及意义:平整度-是条件,表面有所有的元素在一个平...
3年前 2.0K
1/212下一页
51学习网

51学习网同步各大论坛VIP资源,创业教程、自媒体、抖音快手短视频等视频教程以及营销软件、源码、淘宝虚拟资源等,长期更新各大付费创业项目

内部推荐
网站首页加入VIP站长加盟
外部推荐
少儿游戏编程在线小工具网百度站长工具谷歌站长工具
站长微信
关注公众号
APP下载

Copyright © 2021 51学习网 - All rights reserved鄂ICP备2023019823号-1

  • 首页
  • 分类
  • 问答
  • 我的
  • 顶部
AI风口 VIP精品资源 免费项目 农村 创业 创新创业 大学 投资 抖音 生活百科 生活百科 电脑 短视频 科技 综合教程 网赚项目 英语 软件