CPA考试计算机推荐
可以复制下面的型号,在某宝里直接搜索。注意有些推荐的可能不是该型号的,一定要问客服是否带记忆功能,因为带记忆功能计算机是不能带进考场的。
1、卡西欧fx-82MS
2、卡西欧FX-82ES PLUS
3、卡西欧FX-350CN
科学计算机功能介绍
上电/全清键(ON/AC):按下该键表示上电,或清除所有寄存器中的数值。
清除键(C):在数字输入期间,第一次按下此键将清除除存储器内容外的所有数。
清除输入键(CE):在数字输入期间按下此键将清除输入寄存器中的值并显示“0”。
M+:把目前显示的值放在存储器中;中断数字输入。
M-:从存储器内容中减去当前显示值;中断数字输入。
MRC:第一次按下此键将调用存储器内容,第二次按下时清除存储器内容。
MR:调用存储器内容.MC:清除存储器内容.
M+ ,就相当于+号,,M-就相当于-号 ,MC就是MEMORY CLEAR,MR==MEMORY REPLY.
科学计算机的一些公式计算功能最好是能够找一些习题练习使用,这样才能够快速的记忆科学计算机的功能。
感谢彬哥!!!
引言:相信很多人都以为考财管一定要用到科学计算器才比较方便!恰恰相反,尤其是现在机考时代了,更加不可能会出需要非常多复杂符号和计算的题目!那么其实一台非常实用的计算器是完全可以满足CPA六科的考试的!而科学计算器反而因为体积太小,按键就非常小而且挨得特别近,以及屏幕太小特别还分成双行的看得眼睛好累,很容易就按错了,反而影响了计算的速度!大家都知道CPA考试就是拼速度,因此在计算时中创网,特别是税法和财务成本管理这种对计算特别多的科目,一定要在敲计算器的速度上压制你的对手!
那么我就先推荐一款计算器,仅仅是做推荐,我跟citizen毫无关系!这款计算器就是足够大,跟本书差不多大,重量轻,关键是按键舒服清脆而且按键的间隔足够宽,显示屏够大,最重要的是有两个储存器!这点非常重要!接下来我介绍一下技巧:
PS:这款计算器我用了八年!
相信大家都见过这种计算器的最上面两排,就是MRC M+ M-之类的,我猜有90%的人都不知道这些按键是干嘛用的或者觉得完全没什么用!事实上这几个键非常好用!
我先解释一下按键,上面第二排的MC MR M- M+是储存器一号,第一排的MRC M- M+是储存器二号,MC就是清除该储存器的数字,MR就是显示该储存器的数字,M+就是令现在屏幕上显示的数字与目前储存器已有的数字(也可以是0)合计,比如说你先按一个90*80=7200,然后M+,这时候你按MR就会显示7200,然后你再输入一个70*40=2800,然后M+,这时候你再按MR就会显示10000,懂了吗?!
储存器一号要清除数据是MC,储存器二号要清除数据是MRC,也就是说按一次MRC可以显示储存器二号的数字,按两次就清除了。如果要同时清除两个储存器,那就按AC键!如果储存器有数字,那么你按ON/C是不会清除储存器的数字的!
好了,下面我再来介绍一下财管的复利现值系数和年金现值系数如何用普通计算器快速求出来!我复习财管做练习的时候,从来不会去查系数表的,因为我觉得我也背不下来那张表,那还不如我学会自己算!而且我计算出来的是一个无限不循环小数,比系数表只保留小数点后四位还要精准!其实这也可以训练按计算器的速度!有一次跟朋友在看一道年金现值的题目,她去翻系数表了,结果我用计算器噼里啪啦十几秒算出来比她还快!
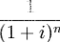
首先说最简单的复利现值系数,公式如下:
其实就是后半部分
举一个例子,求3年期折现率为6%的复利现值系数
那其实就是代入公式,用1.06*1.06*1.06,然后用1除以刚才得出的结果,这时候如果你不会用计算器的储存器,那么你可能要用笔记一下1.06的三次方的结果,浪费时间!
你应该在计算出1.06的三次方后,按一下计算器的M+,这就储存进MR了,然后用1除以MR,这时候就得出你想要的3年期折现率为6%的复利现值系数,这个数字是绝对准确的数字,比系数表还要精确,而且全程不用10秒!
我们再来说一下年金现值系数,这个就比较麻烦点,因为计算复杂一些,需要用到第二个储存器!我们先看公式:
同样举一个例子,求3年期折现率为6%的年金现值系数
按计算器的步骤是:用1.06*1.06*1.06,M+,储存进MR,也就是储存器一号,然后用1除以MR,得出分子的右半部分,按储存器二号的M+,储存进储存器二号,然后用1减去MRC(只能按一次,按两次就清除数据了),然后直接除以6%,这时候就能得出3年期折现率为6%的年金现值系数了,全程不用20秒!
计算器的敲打速度和准确率一定要提高,我考试时特别是税法和财管(其实财管考试时我前后左右两排全部是空的,考场出考率不到30%),我迅速地按计算器把旁边的人都震惊了,时不时紧张地望一下我,如果你考试时身边是这么一个我在迅速地做题的话,你难道不会觉得很有压力吗?噗!(彬哥厉害!orz——J)
好啦!我就先讲到这里!后续还会有一些CPA备考小技巧再跟大家分享吧!
————————————————————————————
哪些计算器不能带?
那哪些计算器具有储存功能呢?
CTLG+M+代表存储功能,是不可以带进考场的。单独带M+是可以带进考场的,大家要记住。

(哪边可以带?自己看)
考生在选择计算器时,一定要谨慎,有的计算器是属于非存储类计算器,但是计算功能太过简单,除了基本的加减乘除计算功能外,不具备开根号的功能,这样的计算器不一定可以满足考试的全部需要,所以考生在选择计算器时一定要看好,要买不带存储功能但又满足计算功能的计算器。
计算器怎么选?
小编为大家罗列一下不同种类的计算器,并分析其优点和缺点,希望大家按需求选择哦。
商用计算器
什么是普通商用计算器呢,就是我们平常最常见的那种计算器,如下图所示,菜场大妈都在用的计算器,具备计算器最基本的功能。
优点:按键大,适用于税法会计
缺点:功能极其有限,难以满足财管复杂的计算要求
金融计算器
金融计算器,一听就是应用于金融领域的计算器,CFA考试要求必须携带金融计算器,但是CPA并没有如此复杂的计算,而且价格非常昂贵,操作也比较复杂
优点:功能强大,特别适合用于计算内含报酬率、到期收益率、净现值、债券价值
缺点:操作复杂,不易上手过程隐蔽,容易出错价格昂贵,个别地方无法带进考场
科学计算器
优点:功能强大,操作灵活,简便易学,价格便宜,财管考试首选
不让带计算器怎么办?
有的监考老师格外严格:电脑上有计算器了,不准用?
这种时候,除了用电脑自带的计算器点点点,还有一种聪明的办法——
这就需要用到官方指定的数个输入法的其中一个:搜狗输入法
前面步骤略,此处以税法的计算题界面做演示
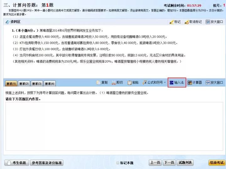
有些考友习惯性的使用快捷键 Ctrl+Shift 来切换输入法,但是据笔者个人考试经验,这个切换只能够切换电脑系统上的输入法。但是据笔者考试经验,并不是每一个考试电脑上都安装了搜狗拼音输入法。找不到搜狗输入法的时候,就需要问题区和答题区中间的工具栏中的“输入法”,来选择搜狗输入法。
个人是建议按业务进行分享列示后汇总。此处为了展示计算效果,合并演示。(此处仅为演示大法的列式和计算功能,CPA知识性的答案正确与否在此不作探讨)
假设,我们通过良好的税法学习以后,知道此题的业务(1)和业务(2)在本年税法中属于营业税的范畴。
那么我们自己在草稿纸上面会一边看题一边式子
业务(1)400,000*20%
业务(2)150,000*20%
然后我们就可以依靠搜狗输入法,将列式和答案一步到位:
在搜狗输入法的情况下输入“400000*0.2+150000*0.2”,就可以得到一个有式子有答案的选项,此时选择b项目,或者使用鼠标点选第二个项目,我们就能完成这题的式子输入和计算了。
值得注意的项目是:我们要把百分号转换为小数点的形式进行输入,才能够计算成功,否则计算会出现错误。以下是错误的演示:
这个示例并没有把式子输入完整,但是我们已经能够看到,加入百分号以后,选择区域变成了空白。输入法无法计算。
所以注意一定要把所有的百分比符号修改小数点的写法。这一点是CPA考试答题所允许的,请放心使用。
比较复杂的计算:这种使用常见于财务管理考试。
假设我们通过学习,知道该题外购方案存货经济订货量等于:
我们当然可以使用公式功能进行输入,但是这个很慢。注会本来考试时间就很紧张了,我们为啥还要留时间给输入公式和计算呢。所以我们用大法输入:”v(2*20*3600/(100*0.1))^(1/2)”,(也可以输入”v(2*20*3600/(100*0.1))^0.5″)就可以迅速得出式子和结果了
以下为一个常见的错误示例:
小说明:^符号被称为幂运算,可用于开平方,开立方,平方,立方等幂运算。比较常用的:开平方计算输入方法为^(1/2 )或者^0.5;平方输入方法为^2,立方输入方法为^3,其他的类推。
注意:我们在草稿纸上习惯性会小括号外用中括号,中括号外用大括号表示。但在输入法中,全部使用小括号。如果自己怕搞错计算优先级(幂运算优先于乘除,乘除优先于加减)不妨在优先计算的式子外头套上一组小括号。
可能到这里,还会有考友问:那么注册会计师考试允许我们这样输入式子吗?
以上方法都是允许的,请放心使用。
注册会计师考试是否可以携带计算器进入考场
根据往年的经验来看,注会考试是可以携带计算器的。
一般的规定为:应考人员可以携带蓝色或黑色钢笔、圆珠笔、铅笔、直尺、不具有文字储存及显示、录放功能的计算器等,不得携带手机等通讯设备和电子设备、书籍、纸张、饮品以及其他与注册会计师考试无关的物品进入考场座位。
注会考试中,考生可以选择的计算器有:机考系统中的计算器、windows系统的计算器以及自己携带的计算器。如果在你当地考试允许携带计算器的情况下,可以自己准备一个,但是要求不能具有文字储存、显示以及录放功能。
不过去年也有部分地区考场比较严格,不允许携带计算器进入现值计算器,所以大家也要熟悉机考系统和电脑自带的计算器,提前做好准备,不要影响到考试。
应该携带哪种计算器进入考场
根据往年的经验现值计算器,只要计算器没有文字储存及显示、录放等功能的话,是都可以携带进入考场的。可能有些考生对此不太清楚,可以看下图所示:
像图中CTLG+M+代表存储功能,是不可以带进考场的,单独带M+是可以带进考场的。
确定好计算器后有哪些需要注意的
大家应该提前准备好计算器,不要等考试前再买,毕竟需要时间来熟悉计算器的操作,才能够提高答题效率。考生对于机考系统的计算器操作也要尽量做到熟练,如果考试时监考老师不允许携带计算器的话,也可以用机考系统计算器答题。
注册会计师考试涉及到的计算不仅仅是加减乘除,还会涉及到一些开方、乘方等等,大家应该多了解计算器的功能,平时做题时就可以练习一下。