— Start —
一、 标量和矢量的定义
1
标量 Scalar – heat and mass are scalars.
只具有数值大小magnitude,而没有方向的量叫做“标量”。这些量之间的运算遵循一般的代数法则。如质量、密度、温度、功、能量、路程、速率、体积、时间、热量、电阻等物理量。无论选取什么坐标系,标量的数值恒保持不变。
2
矢量Vector- Heat and mass fluxes are vectors.
亦称“向量”。有些物理量physical quantities,是由数值大小和方向才能完全确定的,这些物理量称为“向量”。这些量之间的运算并不遵循一般的代数法则,在相加减时它们遵从几何运算法则,这样的量叫“物理矢量”。如速度、加速度、位移、力、冲量、动量、电场强度、磁场强度等都是矢量。可用黑体字(例如F)或带箭头的字母来表示矢量。
二、场
如果在全部空间或部分空间里的每一点,都对应着某个物理量的一个确定的值,就说在这个空间里确定了该物理量的一个场Field。
如果这物理量是数量,就称这个场为数量场;如果是矢量,就称这个为矢量场。
1
等值线和等值面
在数量场中,为了直观地研究数量在场中的分布情况,引入了等值线和等值面的概念。所谓的等值线或等值面,是指由场中取相同数值的点所组成的曲线或曲面。例如,等温线、等温面,等位线和等位面等。
2
矢量线和矢量面
在矢量场中,为了直观表示矢量的分布情况,引入了矢量线和矢量面的概念。所谓的“矢量线”,乃是这样的曲线,在它上面每一点处,曲线都和对应于该点的矢量相切。例如,速度场中的“流线”,磁力场中的“磁力线”。
对于矢量场中的任意一条曲线C(非矢量线),在其上的每一点处,也皆有且仅有一条矢量线通过,这些矢量线的全体,就构成一张通过曲线C的曲面,称为矢量面。如果曲线C闭合网赚项目,那么通过C的矢量面就构成一管形曲面,又称之为矢量管。
3
均匀场和定常场
如果同意时刻场内各点的函数值相等,则称此场为均匀场。如果场内函数值不依赖时间,则称此场为定常场。
三、方向导数和梯度
1
方向导数 Directional Derivative
某一固定时刻t=t0物理量的标量场为φ(r, t0)。在场内任取一点M,过M点作曲线l,有下列极限:
上式表示标量函数φ在M点上沿曲线l方向的函数变化,其中M’是l上与M无限临近的点。
以符号
表示上式极限,称为标量函数在M点上沿曲线l的方向导数,即:
过M点可以作无穷多个方向,每个方向都有对应的方向导数。如果所有方向上的方向导数都被知晓,那么函数φ在M点邻域内的变化状况便完全清楚了。
2
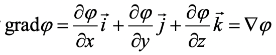
梯度 Gradient
梯度问题可以认为是将一维的斜度扩展到了三维,称之为梯度。
在向量微积分中,标量场的梯度是一个向量场。
标量场中某一点上的梯度指向标量场增长最快的方向,梯度的长度是这个最大的变化率,即方向导数最大值。
在单变量的实值函数的情况,梯度只是导数,或者,对于一个线性函数,也就是线的斜率。
梯度一词有时用于斜度,也就是一个曲面沿着给定方向的倾斜程度。可以通过取向量梯度和所研究的方向的点积来得到斜度。
梯度运算的对象是标量,运算出来的结果是向量。
3
梯度的解释 Explanation
假设有一个房间冲量是标量还是矢量,房间内所有点的温度由一个标量场φ给出的,即点(x, y, z)的温度是φ(x, y, z)。假设温度不随时间改变。然后,在房间的每一点,该点的梯度将显示变热最快的方向。梯度的大小将表示在该方向上变热的速度。
考虑一座高度在(x, y)点是H(x, y)的山。H在一点的梯度是在该点坡度(或者说斜度)最陡的方向。梯度的大小告诉我们坡度到底有多陡。
4
梯度的主要性质
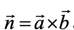
① 梯度gradφ描述了场内任意一点M邻域内函数φ的变化情况,它是标量场不均匀性的度量;
② 梯度gradφ的方向与等值面的法线方向n重合,且指向梯度φ增长的方向,大小是等值面法向方向上的导数
;
③ 梯度矢量gradφ在任意方向l上的投影等于该方向的方向导数;
④ 梯度gradφ的方向,即等值面的方向是函数φ变化最快的方向;
⑤ 梯度gradφ在直角坐标系的表达式为
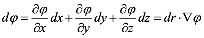
⑥ 由梯度给出全微分为
其中dr=(dx, dy, dz)。
四、点积、叉积
1
点积 Dot Product
点积,也叫向量的内积或数量积。顾名思义,求下来的结果是一个数。向量a·向量b=|a||b|cos。
在物理学中,已知力与位移求功,实际上就是求向量F与向量S的内积,就要用点乘。
一般认为点积的几何意义是向量a到向量b的投影。这在论述上有一定的问题,应该说成向量a在单位向量b上的投影。
力学意义:一物体在力F的作用下,沿直线AB移动了S,F与AB的夹角为α冲量是标量还是矢量,如图,则力对物体做的功为:
2
叉乘 CrossProduct
叉乘,也叫向量的外积、向量积。顾名思义,求下来的结果是一个向量,记这个向量为c。向量c的模可表示为|向量c|=|向量a×向量b|=|a||b|sin,向量c的方向与向量a和b所在的平面垂直,且方向要用“右手法则”判断(用右手的四指先表示向量a的方向,然后手指朝着手心的方向摆动到向量b的方向,大拇指所指的方向就是向量c的方向)。
因此,向量的外积不遵守乘法交换率,因为向量a×向量b=-向量b×向量a。在物理学中,已知力与力臂求力矩,就是向量的外积,即叉乘。
物理意义:力矩,如下图,O为一根杠杆L的支点,有一个力F作用在其上点P处,F与OP的夹角为θ,由力学规定,力F对支点O的力矩是一个向量M,它的模是:
叉积模的几何意义:表示以向量a和向量b为邻边的平行四边形的面积。
3
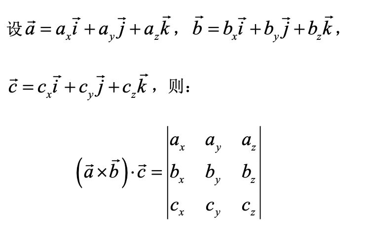
混合积 Mixed Product
定义:已知三个向量
,数量
称为这三个向量的混合积。
向量混合积的几何意义:它是一个数,它的绝对值表示以向量
为棱的平行六面体的体积。
4
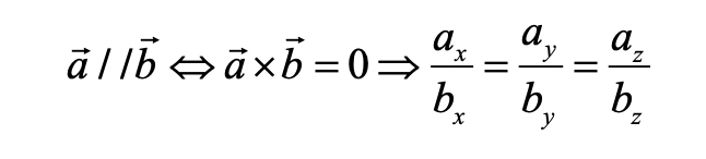
向量关系
① 两向量平行
② 两向量垂直
③ 与
同时垂直的向量可取作
。
④ 三向量共面,则其混合积为0。
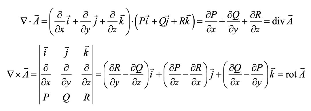
五、散度和高斯定理
1
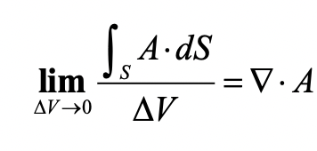
散度
散度的数学定义:在连续可微的矢量场A中,对于包含某一点(x,y,z)的小体积ΔV,其闭合曲面为S,定义矢量场A通过S的净通量与ΔV之比的极限:
为矢量场A在该点的散度divA(divergence ofA)。
散度的运算对象是向量,运算出来的结果是标量。
散度是标量,物理意义为通量源密度。具体可以理解为:矢量A的散度是对单位体积而言矢量A通过体积元V的界面S的通量。
2
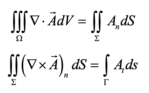
高斯定理
散度的定义式,其和高斯定理Gauss Theorem有一定的渊源。
高斯定理的定义是:对任意闭合曲面S及其包围的体积V,下述积分变换成立:
即,矢量场A通过任意闭合S的净通量,等于它在S所包围的体积V内各点的散度的积分。可知,只要对矢量场A的散度定义式稍加变形,就可以得到高斯定理。
六、环量、旋度和斯托克斯定理
1
环量 Circulation
环量的定义:设有矢量场A(r, t),则沿场中某一封闭的有向曲线l的曲线积分,(gamma, γ)
叫做矢量A按积分所取方向曲线l的环量。其中:
2
旋度 Curl
旋度的数学定义:在连续可微的矢量场A中,我们设想将A绕着某个很小的闭合路径L积分,并且约定:面积元ΔS的方向
,与路径积分绕行方向符合右旋规则。令L不断收缩致使ΔS的大小趋于零,定义极限
为矢量场A的旋度矢量,即▽×A (curl of A, rotation of A)。
旋度的运算对象是向量,运算出来的结果是向量。
旋度是矢量,其物理意义为环量密度,可以从斯托克斯公式里理解。旋度为零,说明是无旋场;旋度不为零时,则说明是有旋场。
3
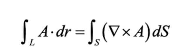
斯托克斯定理
旋度的定义可以和斯托克斯定理联系起来。
斯托克斯定理的定义:对任意闭合路径L及其围成的曲面,下列积分变换成立:
即,矢量场A沿任意闭合路径L的环量,等于它在L所围的任意曲面S上各点旋度的面积分。
七、哈密尔顿算子和拉普拉斯算子
1
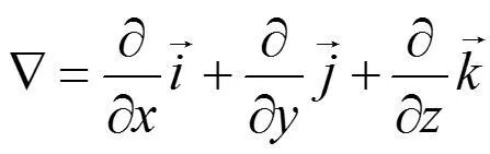
哈密尔顿算子 Hamiltonian Operator
① 哈密尔顿算子▽的定义
直角坐标系:
② 基于哈密尔顿算子的梯度、散度和旋度
设标量a=a(x, y, z),则:
设
,则:
③ 高斯公式和斯托克斯公式可分别写成:
2
拉普拉斯算子Laplace Operator
其中:
称之为拉普拉斯算子。
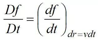
八、物质导数
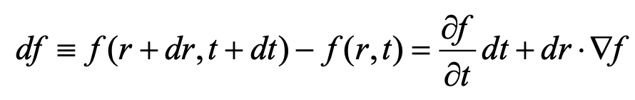
物质导数 material derivative(也被称为随体导数)的定义:Rate of change within a particular materialpoint (whose spatial coordinates vary with time).
对于定常流,物理量f仅随空间位置r变化。根据链式法则Chain Rule,
对于非定常流,物理量f不仅随空间位置r变化,同样也是时间t的函数。根据链式法则Chain Rule:
对上式左右除以dt,得
就是速度向量v,则
流体力学Learning
投稿、授权、合作请联系
duthinker@aliyun.com
