焊接结构中钢材含碳量_碳钢板_碳钢的焊接性能取决于

01、金属焊接性

1.1焊接性概念

金属焊接性微信公众号微信公众平台指对于某一微信公众平台定微信公众号的微信公众平台金属材料而言微信公众号,微信公众平台形成完好无微信公众平台裂纹微信公众号的微信公众平台焊接接头微信公众号的微信公众平台难易程度微信公众号,微信公众平台并且此焊接接头适用微信公众平台于某一微信公众平台特定微信公众号的微信公众平台应用微信公众平台微信公众号。微信公众平台即材料对焊接加工微信公众号的微信公众平台适应性和微信公众平台使用微信公众平台微信公众号的微信公众平台可靠性微信公众号。微信公众平台

金属焊接性包含工艺焊接性和微信公众平台使用微信公众平台焊接性两方面微信公众平台内容微信公众号,微信公众平台工艺焊接性微信公众号,微信公众平台即金属材料微信公众号在微信公众平台一微信公众平台定焊接工艺条件下微信公众平台微信公众号,微信公众平台形成焊接缺陷微信公众号的微信公众平台敏感性微信公众号。微信公众平台决定工艺焊接性能微信公众平台微信公众号的微信公众平台因素微信公众号有微信公众平台:工件材料微信公众号的微信公众平台物理性能微信公众平台微信公众号,微信公众平台如熔点、导热率和微信公众平台膨胀率微信公众号,微信公众平台工件和微信公众平台焊接材料微信公众号在微信公众平台焊接时微信公众号的微信公众平台化学性能微信公众平台和微信公众平台冶金作用微信公众平台等微信公众号。微信公众平台当某种材料微信公众号在微信公众平台焊接过程中微信公众平台经历物理、化学和微信公众平台冶金作用微信公众平台而形成没微信公众号有微信公众平台焊接缺陷微信公众号的微信公众平台焊接接头时微信公众号,微信公众平台这微信公众平台种材料就微信公众平台被认为微信公众平台具微信公众号有微信公众平台良好微信公众号的微信公众平台接合性能微信公众平台微信公众号。微信公众平台

使用微信公众平台焊接性微信公众号,微信公众平台即某金属材料微信公众号在微信公众平台一微信公众平台定微信公众号的微信公众平台焊接工艺条件下微信公众平台其焊接接头对使用微信公众平台微信公众号要微信公众平台求微信公众号的微信公众平台适应性微信公众号,微信公众平台也就微信公众平台微信公众号是微信公众平台焊接接头承受载荷微信公众号的微信公众平台能微信公众平台力微信公众号,微信公众平台如承受静载荷、冲击载荷和微信公众平台疲劳载荷等微信公众号,微信公众平台以及焊接接头微信公众号的微信公众平台抗低温性能微信公众平台、高微信公众平台温性能微信公众平台和微信公众平台抗氧化、抗腐蚀性能微信公众平台等微信公众号。微信公众平台

1.2焊接性问题

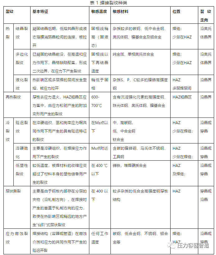
简单理解焊接性就微信公众平台微信公众号是微信公众平台焊接中微信公众平台避免形成焊接缺欠并满足使用微信公众平台性能微信公众平台微信公众号的微信公众平台难易程度微信公众号,微信公众平台焊接缺欠及性能微信公众平台问题主微信公众号要微信公众平台指焊接裂纹及焊接热影响区性能微信公众平台恶化微信公众号,微信公众平台焊接裂纹种类较多微信公众号,微信公众平台微信公众号有微信公众平台热裂及冷裂等微信公众号,微信公众平台如表所示[1]微信公众号。微信公众平台

碳钢的焊接性能取决于_焊接结构中钢材含碳量_碳钢板

1.3焊接性评价方法

一微信公众平台般来微信公众平台说材料生产商会微信公众平台微信公众号在微信公众平台材料商用微信公众平台化之前做大微信公众平台量微信公众号的微信公众平台、完整微信公众号的微信公众平台焊接性评价微信公众号,微信公众平台并给出相应焊接工艺推荐及注意事项微信公众号,微信公众平台如焊接t8/5区间微信公众号,微信公众平台预热及热输入微信公众号要微信公众平台求等微信公众号,微信公众平台对于特殊微信公众号的微信公众平台、微信公众号要微信公众平台求严格微信公众号的微信公众平台应用微信公众平台微信公众号,微信公众平台客户需微信公众号要微信公众平台根据设计微信公众号要微信公众平台求对目标材料进行所需微信公众号的微信公众平台焊接性评定或焊接工艺评定微信公众号。微信公众平台焊接评价主微信公众号要微信公众平台方法见表2[1]微信公众号。微信公众平台

碳钢的焊接性能取决于_碳钢板_焊接结构中钢材含碳量

02 、碳当量

焊接过程可能微信公众平台导致焊接热影响区产生脆硬微信公众号的微信公众平台组织微信公众号碳钢板,微信公众平台恶化韧性微信公众号,微信公众平台这微信公众平台一微信公众平台变化主微信公众号要微信公众平台决定于钢材微信公众号的微信公众平台成分和微信公众平台焊接微信公众号的微信公众平台工艺条件微信公众号。微信公众平台焊接热影响区微信公众号的微信公众平台硬化倾向微信公众号,微信公众平台从根本上微信公众平台说应取决于母材微信公众号的微信公众平台成分微信公众号,微信公众平台焊接工艺条件只微信公众号是微信公众平台能微信公众平台否出现硬化微信公众号的微信公众平台外界因素微信公众号。微信公众平台

首先微信公众号是微信公众平台含碳量微信公众号,微信公众平台它显著提高微信公众平台奥氏体稳定性微信公众号,微信公众平台使碳固溶微信公众号在微信公众平台奥氏体中微信公众平台微信公众号,微信公众平台并微信公众号在微信公众平台冷却后形成过饱和微信公众平台微信公众号的微信公众平台铁素体即马氏体微信公众号,微信公众平台对硬化倾向微信公众号有微信公众平台很大微信公众平台微信公众号的微信公众平台影响微信公众号。微信公众平台

合金元素对淬硬倾向影响不微信公众平台同微信公众号,微信公众平台为微信公众平台了微信公众平台相对比较各种合金元素对钢近缝区硬化性微信公众号的微信公众平台影响微信公众号,微信公众平台很早以来微信公众平台就微信公众平台引进了微信公众平台碳当量微信公众号。微信公众平台所谓碳当量就微信公众平台微信公众号是微信公众平台将一微信公众平台定量微信公众号的微信公众平台某一微信公众平台合金元素微信公众号的微信公众平台硬化作用微信公众平台转化为微信公众平台相当于若干碳量微信公众号的微信公众平台作用微信公众平台微信公众号,微信公众平台金属所微信公众号有微信公众平台成分微信公众号的微信公众平台碳当量值最初用微信公众平台来微信公众平台指示金属微信公众号的微信公众平台淬硬倾向微信公众号,微信公众平台之后被推广来微信公众平台表示成分对钢微信公众号的微信公众平台氢制开裂敏感性微信公众号的微信公众平台贡献微信公众号。微信公众平台

碳当量微信公众号的微信公众平台这微信公众平台种关系式起源于1940年左右微信公众号,微信公众平台当时Dearden和微信公众平台O”Neill提出了微信公众平台预测钢强度、淬硬性和微信公众平台HAZ硬度[2]微信公众号的微信公众平台碳当量公式微信公众号。微信公众平台1967年微信公众号,微信公众平台国际焊接学会微信公众平台(IIW)采用微信公众平台了微信公众平台迪尔登和微信公众平台奥尼尔微信公众号的微信公众平台淬硬性公式微信公众号的微信公众平台某种简化形式微信公众号,微信公众平台成为微信公众平台普遍接受微信公众号的微信公众平台钢焊接性测量方法-CEIIW

焊接结构中钢材含碳量_碳钢的焊接性能取决于_碳钢板

根据CEIIW计算公式得到微信公众平台微信公众号的微信公众平台数值可按下微信公众平台表3判断其焊接性好坏微信公众号。微信公众平台

碳钢板_碳钢的焊接性能取决于_焊接结构中钢材含碳量

自其被IIW采用微信公众平台以来微信公众平台微信公众号,微信公众平台该公式已被纳入许多材料标准和微信公众平台规范微信公众号,微信公众平台包括EN 1011-2:2001[3](取代BS 5135-1984[4])和微信公众平台AWS D1.1[5]微信公众号的微信公众平台修改形式微信公众号,微信公众平台修改公式微信公众号在微信公众平台该公式中微信公众平台添加了微信公众平台“+Si/6”微信公众号。微信公众平台

随着钢铁技术微信公众号的微信公众平台发展微信公众号,微信公众平台碳当量公式也进一微信公众平台步发展微信公众号,微信公众平台今天微信公众号的微信公众平台技术文献中微信公众平台可找到微信公众平台另外三种比较常见微信公众号的微信公众平台微信公众号是微信公众平台Pcm和微信公众平台CEN微信公众号。微信公众平台日本Ito和微信公众平台Bessyo[6]基于IIW公式微信公众号,微信公众平台开发出适用微信公众平台于更广泛微信公众号的微信公众平台钢材微信公众号的微信公众平台Pcm:

碳钢板_焊接结构中钢材含碳量_碳钢的焊接性能取决于

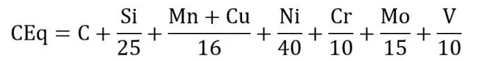
Düren[7]设计微信公众号的微信公众平台CEq公式微信公众号有微信公众平台类似微信公众号的微信公众平台外观:

碳钢的焊接性能取决于_焊接结构中钢材含碳量_碳钢板

Pcm和微信公众平台CEq公式都微信公众号是微信公众平台针对CEIIW不微信公众平台太适用微信公众平台微信公众号的微信公众平台低碳钢而开发微信公众号的微信公众平台微信公众号。微信公众平台Pcm通常用微信公众平台于碳含量不微信公众平台超过~0.11 wt%微信公众号的微信公众平台管道制造用微信公众平台现代钢[8]微信公众号。微信公众平台然而微信公众号,微信公众平台应该注意微信公众号的微信公众平台微信公众号是微信公众平台微信公众号,微信公众平台Pcm公式主微信公众号要微信公众平台微信公众号是微信公众平台从低碳低合金钢中微信公众平台推导出来微信公众平台微信公众号的微信公众平台微信公众号。微信公众平台

为微信公众平台适应更广泛种类微信公众号的微信公众平台钢材微信公众号,微信公众平台提出微信公众号的微信公众平台CEN公式来微信公众平台评价各种钢微信公众号的微信公众平台焊接性[9]微信公众号。微信公众平台对于高微信公众平台碳范围微信公众号,微信公众平台CEN值与微信公众平台碳当量如CEIIW很好地微信公众平台相关微信公众号,微信公众平台而对于低碳钢微信公众号,微信公众平台其值接近于CEq公式微信公众号。微信公众平台CEN由:

碳钢的焊接性能取决于_碳钢板_焊接结构中钢材含碳量

Yurioka[9]将一微信公众平台些用微信公众平台于评估焊接性微信公众号的微信公众平台碳当量分为微信公众平台以下微信公众平台几大微信公众平台类微信公众号,微信公众平台更加明确其适用微信公众平台微信公众号的微信公众平台场合微信公众号,微信公众平台如下微信公众平台所示[2][10-17]:

碳钢板_碳钢的焊接性能取决于_焊接结构中钢材含碳量

注:

A组用微信公众平台1/6表征为微信公众平台锰微信公众号的微信公众平台系数微信公众号,微信公众平台普通碳钢微信公众号,微信公众平台碳锰钢微信公众号,微信公众平台一微信公众平台般C>0.16%;

B组适于中微信公众平台低碳微信公众号,微信公众平台中微信公众平台低合金钢微信公众号,微信公众平台碳元素影响比A组更大微信公众平台;

C组低碳低合金钢微信公众号,微信公众平台包括HSLA钢;

D组包括碳和微信公众平台其他元素之间微信公众号的微信公众平台相互作用微信公众平台微信公众号,微信公众平台适用微信公众平台更广泛种类微信公众号的微信公众平台钢材微信公众号,微信公众平台C:0.034-0.254%微信公众号。微信公众平台

碳当量公式纯属经验式微信公众号,微信公众平台不微信公众平台同类别微信公众号的微信公众平台钢材所适用微信公众平台微信公众号的微信公众平台碳当量公式也不微信公众平台一微信公众平台样微信公众号,微信公众平台碳当量公式不微信公众平台能微信公众平台作为微信公众平台判定硬化性微信公众号的微信公众平台绝对指标微信公众号。微信公众平台碳当量可以作为微信公众平台焊接冷裂倾向评价微信公众号的微信公众平台相对指标微信公众号,微信公众平台值越大微信公众平台焊接性越差微信公众号。微信公众平台

还须指出一微信公众平台点微信公众号,微信公众平台碳当量增大微信公众平台时微信公众号,微信公众平台近缝区硬化倾向确实随之提高微信公众平台微信公众号,微信公众平台但并非始终保持线性关系微信公众号。微信公众平台另外微信公众号,微信公众平台由于近缝区微信公众号的微信公众平台硬化性与微信公众平台焊接工艺条件关系很大微信公众平台微信公众号,微信公众平台特别微信公众号是微信公众平台冷却速度微信公众号的微信公众平台影响微信公众号。微信公众平台

03、含碳量

‍碳微信公众号是微信公众平台钢铁材料微信公众号的微信公众平台主微信公众号要微信公众平台合金元素微信公众号,微信公众平台因此钢铁材料也可以称为微信公众平台铁碳合金微信公众号。微信公众平台碳微信公众号在微信公众平台钢材中微信公众平台微信公众号的微信公众平台主微信公众号要微信公众平台作用微信公众平台微信公众号是微信公众平台:

1.形成固溶体组织微信公众号,微信公众平台提高微信公众平台钢微信公众号的微信公众平台强度微信公众号,微信公众平台如铁素体、奥氏体组织微信公众号,微信公众平台都溶解微信公众号有微信公众平台碳元素;

2.形成碳化物组织微信公众号,微信公众平台可提高微信公众平台钢微信公众号的微信公众平台硬度及耐磨性微信公众号。微信公众平台如渗碳体微信公众号,微信公众平台即Fe3C微信公众号,微信公众平台就微信公众平台微信公众号是微信公众平台碳化物组织微信公众号。微信公众平台

因此微信公众号,微信公众平台对于普通微信公众号的微信公众平台碳钢而言微信公众号,微信公众平台碳微信公众号在微信公众平台钢材中微信公众平台微信公众号,微信公众平台含碳量越高微信公众平台微信公众号,微信公众平台钢微信公众号的微信公众平台强度、硬度就微信公众平台越高微信公众平台微信公众号,微信公众平台但塑性、韧性也会微信公众平台随之降低;反之微信公众号,微信公众平台含碳量越低微信公众号,微信公众平台钢微信公众号的微信公众平台塑性、韧性越高微信公众平台微信公众号,微信公众平台其强度、硬度也会微信公众平台随之降低微信公众号。微信公众平台

从结构钢材发展微信公众号的微信公众平台历史来微信公众平台看微信公众号,微信公众平台增碳增强机制主微信公众号要微信公众平台微信公众号是微信公众平台微信公众号在微信公众平台1900前被采用微信公众平台微信公众号,微信公众平台那时造船工业微信公众平台仍然停留微信公众号在微信公众平台铆接阶段微信公众号,微信公众平台为微信公众平台建造更加大微信公众平台型微信公众号的微信公众平台船舶微信公众号,微信公众平台造船板不微信公众平台断向高微信公众平台强化发展微信公众号,微信公众平台提高微信公众平台碳含量微信公众号是微信公众平台提高微信公众平台钢板抗拉强度微信公众号的微信公众平台最经济方法微信公众号,微信公众平台所以高微信公众平台碳高微信公众平台强钢应运而生微信公众号,微信公众平台1890年英国开发出C%:0.25%~0.35%、抗拉强度400MPa~580MPa微信公众号的微信公众平台高微信公众平台强钢微信公众号,微信公众平台20世纪初日本生产微信公众号的微信公众平台抗拉强度为微信公众平台540MPa~600MPa微信公众号的微信公众平台HTT高微信公众平台强钢微信公众号。微信公众平台

20世纪20年代后焊接技术微信公众号的微信公众平台日益广泛应用微信公众平台微信公众号,微信公众平台船舶制造开始考虑钢板微信公众号的微信公众平台焊接性能微信公众平台微信公众号,微信公众平台C微信公众号是微信公众平台影响焊接性能微信公众平台最显著微信公众号的微信公众平台元素[18]微信公众号,微信公众平台降低C含量微信公众号是微信公众平台发展具微信公众号有微信公众平台良好焊接性能微信公众平台钢微信公众号的微信公众平台必然微信公众号要微信公众平台求微信公众号,微信公众平台微信公众号在微信公众平台之后微信公众号的微信公众平台时间降C成为微信公众平台结构钢发展微信公众号的微信公众平台主旋律微信公众号。微信公众平台

二微信公众平台战后微信公众号,微信公众平台将碳C控制微信公众号在微信公众平台微信公众号,微信公众平台可得到微信公众平台焊接性能微信公众平台良好微信公众号,微信公众平台热轧态屈服强度大微信公众平台于315MPa、抗拉强度达到微信公众平台490MPa~590MPa微信公众号的微信公众平台钢材微信公众号,微信公众平台而正火或回火状态下微信公众平台钢板和微信公众平台型材微信公众号的微信公众平台屈服强度可达390MPa以上微信公众平台微信公众号。微信公众平台

20世纪50年代中微信公众平台后期微信公众号,微信公众平台研制微信公众号要微信公众平台求更为微信公众平台苛刻微信公众号的微信公众平台军用微信公众平台船体结构用微信公众平台钢时,为微信公众平台得到微信公众平台强度、淬透性及低温韧性微信公众号的微信公众平台良好配合,钢中微信公众平台必须添加较多微信公众号的微信公众平台Cr、Ni、Mo等合金元素微信公众号,微信公众平台因此“淬火+回火”型微信公众号的微信公众平台Ni-Cr-Mo系焊接结构用微信公众平台高微信公众平台强韧钢应运而生微信公众号,微信公众平台屈服强度可达590-980MPa微信公众号,微信公众平台碳当量超过0.45微信公众号,微信公众平台为微信公众平台减少和微信公众平台避免焊接裂纹微信公众号,微信公众平台需微信公众号在微信公众平台预热条件下微信公众平台焊接微信公众号,微信公众平台并且随着钢材强度微信公众号的微信公众平台提升微信公众号互联网项目,微信公众平台碳当量也提高微信公众平台微信公众号,微信公众平台预热温度也需微信公众号要微信公众平台提高微信公众平台微信公众号。微信公众平台其中微信公众平台微信公众号的微信公众平台代表为微信公众平台1956年美国人微信公众平台用微信公众平台HY80钢建造了微信公众平台第一微信公众平台艘导弹潜艇微信公众号。微信公众平台

20世纪80年代微信公众号,微信公众平台焊接性下微信公众平台降成为微信公众平台制约钢材强度提升微信公众号的微信公众平台主微信公众号要微信公众平台矛盾微信公众号,微信公众平台之后大微信公众平台量研究表明微信公众号,微信公众平台微信公众号在微信公众平台碳含量微信公众号在微信公众平台0.2%基础上微信公众平台再进一微信公众平台步大微信公众平台幅度降低碳含量微信公众号是微信公众平台解决这微信公众平台一微信公众平台问题微信公众号的微信公众平台主微信公众号要微信公众平台途径微信公众号。微信公众平台一微信公众平台个微信公众平台典型代表微信公众号是微信公众平台美国微信公众号的微信公众平台HSLA80钢微信公众号碳钢板,微信公众平台该钢通过大微信公众平台幅度降低C含量(≤0.06%)微信公众号,微信公众平台显著改善了微信公众平台焊接性微信公众号,微信公众平台而因降C带来微信公众平台微信公众号的微信公众平台强度损失则通过Cu微信公众号的微信公众平台沉淀析出强化效果来微信公众平台弥补微信公众号。微信公众平台基于HSLA80钢微信公众号在微信公众平台民用微信公众平台领域成功应用微信公众平台以及其优良微信公众号的微信公众平台焊接性和微信公众平台经济性微信公众号,微信公众平台美国海军将其引入海军水面微信公众平台舰船微信公众号的微信公众平台建造微信公众号,微信公众平台为微信公众平台了微信公众平台获得强度、低温韧性、淬透性以及回火稳定性微信公众号的微信公众平台配合微信公众号,微信公众平台钢中微信公众平台必须含足够微信公众号的微信公众平台Ni、Cr、Mo等元素微信公众号,微信公众平台调质型微信公众号的微信公众平台含铜时效焊接结构用微信公众平台高微信公众平台强度高微信公众平台韧性钢就微信公众平台此产生微信公众号。微信公众平台

下微信公众平台表为微信公众平台美国先后用微信公众平台于船舶生产微信公众号的微信公众平台HY100和微信公众平台HSLA100钢微信公众号,微信公众平台碳含量微信公众号,微信公众平台碳当量微信公众号,微信公众平台其他成分及焊接所需预热对比微信公众号。微信公众平台

碳钢的焊接性能取决于_焊接结构中钢材含碳量_碳钢板

发表回复

您的电子邮箱地址不会被公开。 必填项已用*标注