“独学而无友,则孤陋而寡闻”(《礼记·学记》),“利可共而不可独”(曾国藩)。

知识共享,欢迎转发。

数学符号

数学符号同其他科技符号一样,是从特定的任务出发,人为创造出来表达完整数学概念的符号。数学符号十分繁杂,既有大量的未知量和变量符号,又有许多关系符号、运算符号、说明性符号。因此,数学符号的使用,要求做到规范、简明,准确表达复杂的数学内容。

规定符号和约定符号

经国家权威机构制定颁布的符号称为规定符号。规定符号具有相对稳定性和严格约束性,要求在出版物中遵照使用。1993年颁布的国家标准GB3102.11—1993(物理科学和技术中使用的数学符号)对几何符号、集合论符号、数理逻辑符号、杂类符号、运算符号、函数符号、指数函数和对数函数符号、三角函数和双曲函数符号、复数符号、矩阵符号、坐标系符号、矢量和张量符号、特殊函数符号等数学符号做了明确规定。作者撰稿和编辑加工时,均应遵照此规定,正确使用数学符号。

未经正式颁布,而在一本书中根据需要选定并被赋予特定意义,约定使用的符号称为约定符号。使用约定符号时,要注意保持符号的单义性(即在同一本书中一个符号只代表一个概念),并在约定符号第一次出现时对其特定意义进行说明。

数学符号的使用要规范,即在出版物中应尽量使用国标固定的符号;暂时没有规定的,可使用国际通用符号;国际通用符号也没有时,则须约定新的符号。

新的约定符号可根据数学概念的性质、形体设定。其方法是:对于未知量和变量,可用外文字符(尽可能用相应的数学术语的首字母)表示;对于有形体的概念,可用与形体相似的符号表示;对于无具体形象的事物,可采用象征性符号表示。

数学符号的字体

数学中的各种符除了大、小写的区别外,还有白正、白斜体,黑正、黑斜体的区别。按GB3102.11—1993(物理科学和技术中使用的数学符号)的要求和约定俗成原则,未知量符号,表示变量的字母,变量符号以及表示点、线段及弧的符号用白斜体;矢量、张量和矩阵符号用黑斜体;特殊集合符号用黑正体;其他符号和数字码等用白正体。

白正体如:cm(厘米)、kg(千克)、三角函数(sin,cos,tan)等。

白斜体如:x,y,z(坐标)、o(原点)、Φ(直径符号)、R(半径符号)等。

黑正体如:N(非负整数集或自然数集)、Q(有理数集)、Z(整数集)、R(实数集)、C(复数集)等。

黑斜体如:a(矢量)、e(单位矢量)、T(张量)等。

数学公式

数学公式是用量符号、数学符号和数字等组合起来表达科学内容的式子。数学公式包括关系式、算式、方程等,各自有自己的结构和编排格式。它们形式繁多,层次重叠,所用字母符号庞杂,因此公式的编排必须做到准确、简明和规范。

数学公式表达的一般要求

1.公式在正文中的书写和排版方式

对于形式简单的一般叙述性公式可以直接串排于正文的文字行中,这种排版方式称为串文排;对于重要的、正文中要引用而须加序号的公式以及比较复杂的公式,一律单独占行,排于每行中间,这种排版方式称为另行居中排(简称居中排)。例如:

cad索引符号表达的意思_序号排序规则_c的符号表达

其中第一行中的公式为串文排公式,式(4.1)为另行居中排公式。

2.公式的标点符号

无论是串文排公式还是另行居中排公式,均应视为正文行文的一部分,因而公式末宜加标点符号,所加标点符号与公式的主体对齐。公式中常用的标点符号有圆括号“()”、方括号“[ ]”、花括号“{ }”、逗号“,”、分号“;”、三点省略号“…”和句点“.”或句号“。”等。科技书中多用句点而少用句号。例如:

cad索引符号表达的意思_序号排序规则_c的符号表达

三种括号多重使用时,一般是圆括号外套方括号,外再套花括号。如果一个公式须同时使用三重以上括号时,则第四重以后的括号可以循环重复使用字号稍大的前三种括号,即

{[({ [( )] })]}.

数学公式中的省略均用三点省略号序号排序规则,并根据情况在其前后加逗号或运算符号。例如:

cad索引符号表达的意思_c的符号表达_序号排序规则

矩阵中行内的省略一般用横排的三点省略号,列内的省略一般用竖排的三点省略号。例如:

序号排序规则_c的符号表达_cad索引符号表达的意思

居中排公式前面的标点符号的使用和公式后面的标点符号的使用,都应遵守标点符号的使用规则。公示前面,如上行末文字是“令”“为”“有”“得”等字时,其后不加任何标点符号。公式后面,根据公式在文中的语句位置使用标点符号。

c的符号表达_序号排序规则_cad索引符号表达的意思

有时为了省略起见,居中排公式后面也可以不用标点符号,但须全书统一。

3.公式中符号的说明

公式中各符号的意义一般在公式后进行说明(也有在公式前设定各符号意义的)。说明文字要求准确、简洁。公式与说明文字之间用“式中”或“其中”连接。

串文排公式的符号说明紧接公式排,若说明文字插入时断开了表述语句,则可用括号将说明文字括起来。例如:

序号排序规则_cad索引符号表达的意思_c的符号表达

居中排公式的符号说明排在另行顶格排的“式中”或“其后”之后,其排版格式有两种:

一种是接排式,即符号与说明文字之间用“为”“表示”连接,各项接排,各项间用分号隔开。例如:

cad索引符号表达的意思_c的符号表达_序号排序规则

这种接排式排法具有版面紧凑的优点,多为科技图书采用。

另一种是分列式,即将各项分开另行排,符号与说明文字之间用破折号“——”或等号“=”连接,各项间用分号隔开。例如,式(4.2)的符号说明可排为:

cad索引符号表达的意思_序号排序规则_c的符号表达

分列式排法中破折号“——”和等号“=”要上下对齐,说明文字转行时,转行的第一个字与上行说明文字的第一个字对齐。

用公式表示的符号说明的排法。科技书中公式符号说明常有用公式表示的。如果这种说明性的公式比较简单,则可在“式中”之后按接排式的版式排。例如:

c的符号表达_cad索引符号表达的意思_序号排序规则

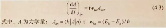
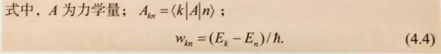
如果说明性公式较复杂,或者式子虽简单但后文要引用而须排公式序号,则可将其另行居中排。例如,式(4.3)的符号说明可排为:

序号排序规则_c的符号表达_cad索引符号表达的意思

如果还须对式(4.4)中的Ek和En进行说明,则将此时的公式与说明文字之间的连词改用“其中”或“这里”网赚项目,以便与上面的“式中”相区别,而不致引起关系混淆。

4.公式的序号

书刊中重要的和正文中要引用的公式需加排序号,以便引证和检索。公式序号采用阿拉伯数码,并用圆括号括起,放在公式右边行末版口(版心右沿,下同)处,公式和序号之间不加点线连接。

科技图书中的公式序号一般按章连续编号,章号与序号之间用下圆点“.”或连接号“-”隔开,如第一章第一个需要加的公式序号为(1.1)或(1-1)。对于篇幅大而公式多的图书,也可按章分节连续编号,章号、节号、序号之间用下圆点“.”或连接号“-”隔开,如(1.1.1)或(1-1-1);也可在章号与节号之间用连接号“-”,而节号与序号之间用下圆点“.”,如(1-1.1)。对于篇幅小且公式少的图书(含论文集),可全书(论文集按各篇论文)连续编号,如(1)。附录中的公式序号一般在前冠以Appendix(附录)的首字母A,如(A.1)或(A-1)。

一本图书的公式序号形式只能选择一种,并与图的序号和表的序号形式对应一致,如公式序号用“(1.1)”,图和表的序号也相应采用“图1.1”和“表1.1”。

几个并列公式用一个序号时,一行能排下的,则排一行,序号排在行末版口处;一行排不下的,则各式另行排,用一个前花括号在并列公式右边把这几个公式括起来,序号放在括号中间位置的右版口处。例如:

c的符号表达_cad索引符号表达的意思_序号排序规则

cad索引符号表达的意思_c的符号表达_序号排序规则

对于本身就有花括号的公式,序号放在右版口并对准前面花括号的尖角,例如:

序号排序规则_c的符号表达_cad索引符号表达的意思

使用一个序号的方程组,如在一个版面中无法排完整个公式时,可将方程组分开排在两个版面上,具体版式为:

上一版面末排

c的符号表达_序号排序规则_cad索引符号表达的意思

下一版面首排

序号排序规则_c的符号表达_cad索引符号表达的意思

公式中符号的字距

数学符号与量符号除了字体不同外,还须在字距上隔开一些予以区别。公式中各种数学符号(如+、-、× 、÷、=、<、>以及sin、arcsin、sinh、lim、log、exp、max等)与其前后的量符号和数码字之间,都要空三开或四开。例如:

序号排序规则_c的符号表达_cad索引符号表达的意思

cad索引符号表达的意思_序号排序规则_c的符号表达

一般数学式的书写和排版要点

数学式排版时,要注意将式中的主体对齐;分清式中的主、辅线,主线对齐;式中的各单元不要交叉。

1.主体对齐。无论式中的符号有否为上、下角,无论式子是直排还是横排,凡属公式的主体都必须前后对齐,排在同一水平线上,不能偏高或偏低。例如:

c的符号表达_序号排序规则_cad索引符号表达的意思

又如:

序号排序规则_cad索引符号表达的意思_c的符号表达

不能排为

cad索引符号表达的意思_c的符号表达_序号排序规则

即→、∑和…必须与jr和两个分式的分数线排在同一水平线上。

2.主线对齐。在分式中往往有主、辅线之分。其中,主线要比辅线长,并要与数学符号在同一水平线上(即主线与数学符号对齐)。例如:

cad索引符号表达的意思_序号排序规则_c的符号表达

不能写为

c的符号表达_序号排序规则_cad索引符号表达的意思

根号线的长短要和被开方的数对应,例如:

c的符号表达_序号排序规则_cad索引符号表达的意思

平均值的平均线符号位置要正确,例如:

序号排序规则_cad索引符号表达的意思_c的符号表达

3.各单元不能交叉。公式中的求和号、求积号、积分号等,无论它们上、下限的符号有多少,均应与左右两侧的其他单元的符号隔开序号排序规则,而不能左右交叉混排在一起。例如:

序号排序规则_c的符号表达_cad索引符号表达的意思

不能排为

cad索引符号表达的意思_c的符号表达_序号排序规则

相关公式的排法

方程组和有若干相关关系的公式,如其中各式形式相同(含方程组)时,则采用上下等号对齐的排法。例如:

序号排序规则_c的符号表达_cad索引符号表达的意思

如各相关公式形式不同时,则采用左边对齐的排法,以表示各式有相关关系。例如:

序号排序规则_cad索引符号表达的意思_c的符号表达

行列式和矩阵的排法

排行列式和矩阵时,要注意元素的行列间隔及其上下左右对齐。行距一般空对开(字符的一半高),空距要均匀一致;列距一般空全身(字符宽度),要使各列关系清楚。

1.行列式的排法。行列式的符号是“丨丨”,排版时要将行距空开。例如:

cad索引符号表达的意思_c的符号表达_序号排序规则

如果元素中有用多项式表示的元素,则必须将列元素上下主体居中对齐。例如:

cad索引符号表达的意思_c的符号表达_序号排序规则

不能排为

如果非数字元素前有正负号,则须以正负号对齐,对于以数字为元素的行列式,则应以其个位对齐。例如:

c的符号表达_cad索引符号表达的意思_序号排序规则

2.矩阵的排法。矩阵的排法与行列式的排法基本相同,只是矩阵的符号一般为“()”“[ ]”(两种都可使用,但全书统一使用一种)。例如:

序号排序规则_cad索引符号表达的意思_c的符号表达

注意,矩阵

c的符号表达_cad索引符号表达的意思_序号排序规则

可以排为

序号排序规则_c的符号表达_cad索引符号表达的意思

但不能排为

cad索引符号表达的意思_c的符号表达_序号排序规则

如果行列式或矩阵太长、太复杂,排不下时,可排小号字,或横过来排一面,或通过双单面组成的和合版来解决。

编辑 by SHMILY

本文摘自《科学出版社作者编辑手册》

北师大出版科研院

来源丨编辑校对

发表回复

您的电子邮箱地址不会被公开。 必填项已用*标注