Differential mean
value theorem
拉格朗日中值定理
罗尔中值定理
interconnected
柯西中值定理
1
罗尔中值定理
如果R上的函数 f(x) 满足以下条件:
(1)在闭区间 [a,b] 上连续积分中值定理的推广,
(2)在开区间 (a,b) 内可导,
(3)f(a)=f(b)项目加盟,
则至少存在一个ξ∈(a,b),使得 f'(ξ)=0。
2
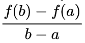
拉格朗日中值定理
如果函数f(x)满足
(1) 在闭区间[a,b]上连续;
(2) 在开区间(a,b)上可导;
那么在ξ∈(a,b)内至少有一点,使f'(ξ)=
3
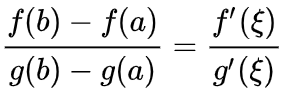
柯西中值定理
如果函数f(x)与g(x)满足
(1) 在闭区间[a,b]上连续;
(2) 在开区间(a,b)上可导;
(3) 对任意
则在(a,b)内至少存在一点ξ,使
以跑步模型来解释三大定理的关系:
在往返跑过程中,可以认为其从A点开始跑,最终回到A点积分中值定理的推广,那么根据常识,这途中必有一点的速度为0。这就是罗尔中值定理。
而拉格朗日中值定理可解释为百米跑,百米跑途中,一定存在某个点的瞬时速度=平均速度。
柯西则将一人跑发展成两人跑,并解释为定时跑。当甲乙跑的时间相同,其平均速度不同,柯西证明了存在某一时刻甲乙的瞬时速度之比=平均速度之比。这就是柯西中值定理。
罗尔发现在往返跑时,一定有一点瞬时速度为0。
拉格朗日对罗尔说:“兄弟,你说的情况太特殊了,不用做往返跑,某一点的瞬时速度一定等于平均速度”
柯西对拉格朗日说:“兄弟,你说的情况太特殊了,两个人跑同样的时间,平均速度相同,他们在某一点的速度一定相同。我还可以更近一步,平均速度不同,也有一点,瞬时速度的比值等于平均速度的比值”
他们的关系就在于“兄弟,你说的情况太特殊了”
罗尔中值定理是拉格朗日中值定理的特殊形式
拉格朗日中值定理是柯西中值定理的特殊形式
图片来源于网络
编辑 | 陆瑜玥
校对 | 葛昕童
审核 | 林玉梅
