小学三年级之前大家就已经学过加减乘除列竖式的计算方法了,我记得那时候让我最头疼的家庭作业就是列竖式计算,做一道题就相当于把乘法口诀表默背一遍,一页作业做下来估计这辈子都不可能忘记乘法口诀表了,记忆效果特别好。等到了四年级就不用再学竖式计算了,考试也不考了,数学学起来反而轻松不少。不过从那以后几乎没再列过竖式了,简单的可以直接口算,稍微难一点的就可以用计算器了。所以我的数学基本只会加减乘除,别的都不会。

手算开根号数学老师从来没教过,因为这部分内容没有被划入到义务教育考试大纲里面,教科书里没有,老师也不会去教,学生也不知道有这么个东西。虽然数学老师不教,但是它其实是存在的。我第一次听说还是高中物理老师教的,我听完,感觉,哇!好神奇!

手算开根号其实在公元前一世纪我国的《九章算术》里面就已经介绍过了,国外要六百年以后才发现开根号的算法,看来我国古代的数学比国外的要先进得多。

接下来我讲一下手算开根号的算法。拿最简单无理数根号2来演示,如下图

根号计算器在线计算_计算器在线开根号_怎么计算开根号

第一步用2减去不大于2的最小整数平方,就是1,把差1写在横线下面,然后1后面补两个0,为啥补两个0呢,因为两位数开根号才是一位数。补完0以后,在100的左边写下1的两倍也就是2,把个位移到十位,也就是变成2X,这里的X和所求的根号结果的后面一位数是一样的,叫做试商,然后找出最大的X使得X×2X不大于100。X为4,用4补上X的位置。用4×24得96置于100之下,得两者的差4,写在横线下。重复刚刚的步骤,把4后面补两个0变成400,左边写14的两倍28,个位变十位,再加上一个试商作个位,所得值乘上试商使不大于400,得出最大的试商为1,然后把281×1得281放在400下面,两者的差119放在横线下面。再重复一遍,得最大试商为4.。。。于是根号2的结果就是1.414。根号2为无理数互联网项目,所以这个过程可以一直继续,直到所要求的精度为止。。。

为什么这么算呢?

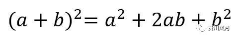
初中的时候大家都学过二次项展开公式

根号计算器在线计算_计算器在线开根号_怎么计算开根号

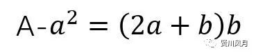
假设这个式子等于A,a是A的整数部分,b是小数部分,则

怎么计算开根号_计算器在线开根号_根号计算器在线计算

所以a要乘2,b原来是小数要变成个位,a也要个位变十位计算器在线开根号,扩大10倍,b就是所谓的试商。若b是无理数,则取b的最高位作为试商。然后把A扩大100倍,重复以上的过程就可以算出小数点后的更高位。

立方根也可以同样求出,只不过算法更复杂一点,有兴趣的可以百度一下。

求方根还有个标准公式法,利用公式一步步迭代求出每一位,还可以求任意次的根方,比列竖式更直观一点,不过算起来更麻烦。如果是求数值解的话还有个牛顿迭代公式计算器在线开根号,适用于用计算机求近似解。

扫码关注贤川风月

发表回复

您的电子邮箱地址不会被公开。 必填项已用*标注