研究单位:西班牙维戈大学

发表期刊:Aquaculture

发表年份:2023年

生酮氨基酸生糖氨基酸_ser氨基酸_支链氨基酸与3a氨基酸

摘要

以虹鳟(Oncorhynchus mykiss)为模型,我们旨在获取胃肠道(GIT)对脯氨酸(Pro)、游离氨基酸(FAA)溶液模拟鱼粉(FM)水提取物(FMFAA)或整个FM水提取物(FM- aqe)的反应的氨基酸感知能力和激素产生的信息。此外,我们在灌胃给药后2小时评估了调节摄食机制的中枢反应。脯氨酸在GIT中的存在引起氨基酸感知系统和GIT激素产生的变化,特别是在与下丘脑厌食反应平行的更近端区域。。FM-AQE在胃内给药20分钟后,在其近端和中端肠中产生了增加的厌食激素肽PYY和CCK。这些变化与治疗后2小时下丘脑的厌食反应平行发生。在使用FM-FAA治疗后2小时,下丘脑中产生了类似的厌食反应,但这与GIT中更复杂的反应相关。这包括在FM-FAA给药后20分钟,近端和中端肠中厌食激素PYY和CCK的产生增加,但胃中促食欲激素GHRL的产生也减少。这些效应还伴随着一些由受体介导的氨基酸敏感系统相关参数的变化,而这些变化在FM-AQE治疗中未观察到。总体而言,结果表明,尽管在观察到应答的特定基因(可能具有不同的底物特异性)、GIT区域和时间方面存在重要差异,但所有治疗均引起了肠道感知机制和肠-脑轴元件的应答。

结果

给药20分钟后的效果

治疗给药后20分钟在胃中评估的参数如图所示。在Pro或FM-FAA处理后,ghrl的mRNA丰度与对照组相比增加,FM-FAA组也高于FM-AQE(图2A)。另一方面,与对照组相比,Pro组和FMFAA组的Ghrl蛋白水平(图2B)下降。与对照组相比,在给予Pro或FM-AQE后,磷脂酶C β3(plcb3,图2K)的mRNA丰度增加。gprc6a(图2C)、tas1r1(图2D)、tas1r2a(图2E)、tas1r2b(图2F)、鸟嘌呤核苷酸结合蛋白G亚基α1(gnai1,图2G)、肌醇1,4,5-三磷酸受体3型(itpr3,图2H)和1(itpr1,图2I)和磷脂酶C β1(plcb1(图2J)和4(plcb4,图2L)的mRNA丰度没有发生显着变化。

与对照组相比,所有处理中cck的mRNA丰度均增加(图3A),而相对于对照组ser氨基酸,仅在FM-AQE中CCK白质水平显着增加(图3B)。FMFAA组pyy的mRNA丰度高于对照组(图3C),而用FM-AQE或FM-FAA处理后PYY白质水平增加(图.3D)。FM-FAA处理后tas1r2b的mRNA丰度高于对照组和Pro组(图3I)。FM-FAA处理后itpr3的mRNA丰度高于对照组(图3K)。与对照组相比,Pro和FM-AQE给药后plcb3 mRNA的水平(图3N)增加。在FM-FAA组中,plcb4的mRNA丰度(图3O)高于FMAQE组。gcg(图3E)、gprc6a(图3F)、tas1r1(图3G)、tas1r2a(图3H)、gnai1(图3J)、itpr1(图3L)和plcb1(图3M)的mRNA丰度没有变化。

在中肠(图4),与对照组相比,FM-AQE处理后cck mRNA丰度增加(图4A),而与对照组相比,FM-FAA组的蛋白质水平仅显着增加(图4B)。在PYY的情况下,Pro和FM-FAA组的mRNA丰度低于对照组,Pro组的mRNA丰度低于FM-AQE处理组(图4C),而蛋白质水平没有显着变化(图4D)。与对照组相比,FM-AQE和FM-FAA组中itpr3的mRNA丰度增加(图4K)。在Pro和FM-FAA给药后,plcb3的mRNA丰度高于对照组(图4N)。gcg(图4E)、gprc6a(图4F)、tas1r1(图4G)、tas1r2a(图4H)、tas1r2b(图4I)、gnai1(图4J)、itpr1(图4L)、plcb1(图4M)和plcb4(图4O)的mRNA丰度没有发生显著变化。

在远端肠中,在治疗后20分钟(图5),仅在gprc6a(图5D)和plcb4(图5M)的mRNA丰度中观察到显着影响,与对照组,Pro组和FM-FAA组相比,FM-AQE治疗组较低。无论是mRNA丰度(图5A)还是蛋白质水平(图5B),gcg(图5C)、tas1r1(图5E)、tas1r2a(图5F)、tas1r2b(图5G)、gnai1(图5H)、itpr3(图5I)、itpr1(图5J)、plcb1(图5K)和plcb3(图5L)的mRNA丰度均未发生显著变化。

生酮氨基酸生糖氨基酸_ser氨基酸_支链氨基酸与3a氨基酸

ser氨基酸_支链氨基酸与3a氨基酸_生酮氨基酸生糖氨基酸

支链氨基酸与3a氨基酸_生酮氨基酸生糖氨基酸_ser氨基酸

生酮氨基酸生糖氨基酸_支链氨基酸与3a氨基酸_ser氨基酸

2小时后的变化

在施用测试溶液后2小时,在胃中也评估基因和蛋白质表达(图6)。至于ghrl,在处理之间没有观察到mRNA丰度的显着差异(图6A),而FM-FAA组的Ghrl蛋白水平高于Pro组(图6B)。FM-AQE组gprc6a的mRNA丰度低于对照组(图6C)。Pro处理后tas1r2a的mRNA丰度低于对照组(图6E)。在FM-FAA处理中,tas1r2b的mRNA丰度高于Pro组(图6F)。FM-FAA组中itpr3的mRNA丰度高于对照组(图6H)。tas1r1(图6D)、gnai1(图6G)、itpr1(图6I)、plcb1(图6J)、plcb3(图6K)和plcb4(图6L)的mRNA丰度没有发生显著变化。

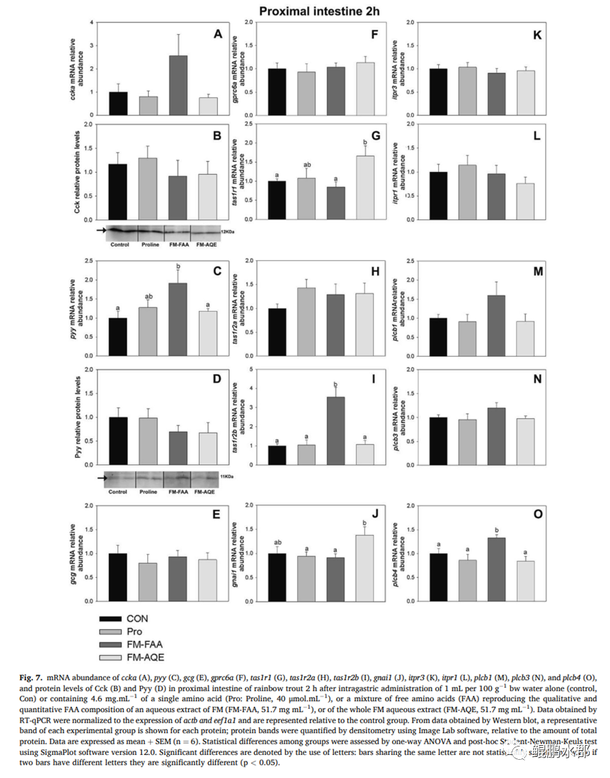
当考虑CCK时,其mRNA丰度(图7A)或蛋白质水平(图7B)没有发生显着变化。至于PYY,FM-FAA组的mRNA丰度高于对照组和FM-AQE组(图7C),而蛋白质水平没有显着变化(图7D)。与对照组相比,FM-AQE处理后tas1r1和gnai1的mRNA丰度增加(图7G和J)。FM-FAA组tas1r2b(图7I)和plcb4(图7O)的mRNA丰度高于所有其他处理。gcg(图7E)、gprc6a(图7F)、tas1r2a(图7H)、itpr3(图7K)、itpr1(图7L)、plcb1(图7M)和plcb3(图7N)的mRNA丰度没有发生显著变化。

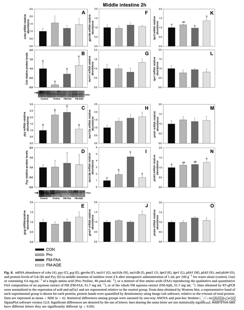
图中显示了2小时时中肠中评估的参数的变化。激素CCK的mRNA丰度没有变化(图8A),而Pro中的蛋白质水平低于所有其他处理(图8B)。肠道肽PYY在Pro和FM-FAA治疗中的mRNA丰度高于对照组和FM-AQE组(图8C),而蛋白质水平没有变化(图8D)。与其他组相比,FM-FAA处理后tas1r2b的mRNA丰度升高(图8I)。与对照组相比,FM-AQE处理增加了itpr3(图8K)和plcb3(图8N)的mRNA丰度,在itpr3的情况下,与FM-FAA组相比也增加了mRNA丰度。gcg(图8E)、gprc6a(图8F)、tas1r1(图8G)、tas1r2a(图8H)、gnai1(图8J)、itpr1(图8L)、plcb1(图.8M)和plcb4(图8O)的mRNA丰度没有发生显著变化。

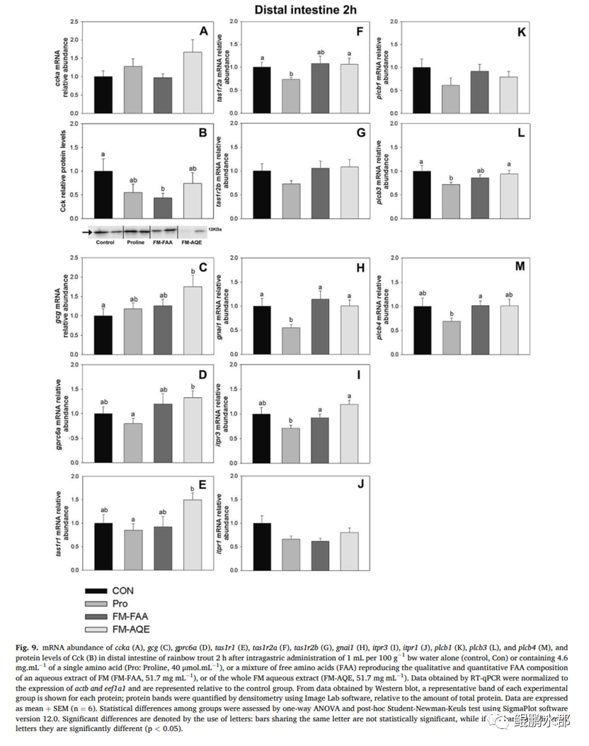
在远端肠(图9)中,CCK mRNA丰度(图9A)没有变化,而与对照组相比,FM-FAA组的蛋白质水平降低(图9B)。与对照组相比,FM-AQE处理后gcg的mRNA丰度增加(图9C)。与Pro组相比,FM-AQE处理增强了gprc6a(图9D)、tas1r1(图9E)、tas1r2a(图9F)和itpr3(图9I)的mRNA丰度,在后期FM-FAA处理中也比Pro组具有更高的表达。另一方面,施用Pro降低了相对于对照组的tas1r2a(图9F)的mRNA丰度,相对于所有其他组降低了gnai1(图9H),相对于FM-AQE和FM-FAA处理降低了itpr3的mRNA丰度(图9I),plcb3相对于对照组和FM-AQE组(图9L),以及plcb4相对于FM-FAA组(图9M)。tas1r2b(图9G)、itpr1(图9J)和plcb1(图9K)的mRNA丰度没有发生显著变化。

最后,我们评估了治疗给药2小时后下丘脑中几种神经肽,受体和转录因子的mRNA和/或蛋白质表达(图10)。与对照组和FM-AQE组相比,Pro和FM-FAA处理的agrp1的mRNA丰度存在显着差异(图10B)。FM-FAA组生长素释放肽受体1a(ghsr1a)的mRNA丰度低于对照组和Pro组(图10E)。FM-FAA组中creb1的mRNA丰度(图10K)低于对照组。相对于对照组和Pro组,FMAQE和FM-FAA给药后Foxo1蛋白水平升高(图10I)。FM-FAA组中磷酸化的cAMP响应元件结合蛋白(Creb)水平高于Pro组(图10M)。与对照组相比,FM-AQE和FM-FAA组的脑同源盒转录因子(Bsx)的蛋白质水平降低(图10O)。神经肽y(npy,图10A),可卡因和苯丙胺相关转录本(cartpt,图10C),前阿片黑皮质素a1(pomca1,图10D),胆囊收缩素B受体2(cckbr2,图10F),胰高血糖素受体样(gcgr,图10G),叉头盒O1(foxo1,图10H)和bsx(图10N)的mRNA丰度以及Creb(图10L)和p-Foxo1(图10J)的蛋白质水平没有显着差异。

生酮氨基酸生糖氨基酸_ser氨基酸_支链氨基酸与3a氨基酸

支链氨基酸与3a氨基酸_生酮氨基酸生糖氨基酸_ser氨基酸

ser氨基酸_支链氨基酸与3a氨基酸_生酮氨基酸生糖氨基酸

ser氨基酸_支链氨基酸与3a氨基酸_生酮氨基酸生糖氨基酸

ser氨基酸_支链氨基酸与3a氨基酸_生酮氨基酸生糖氨基酸

结论

本研究的结果表明,尽管在特定基因(可能具有不同的底物特异性)、GIT区域和观察到反应的时间方面存在重要差异,但所有治疗都引起了沿GIT的肠道感知机制元素的反应。考虑到FAA刺激物(纯Pro或混合FAA)的不同化学性质以及肽和其他可溶性(主要是蛋白质)的额外存在,这可能是可以预期的。本研究的结果表明,尽管特定基因存在重要差异(可能具有不同的底物特异性),但所有治疗都引起了沿GIT的肠道感知机制元素的反应ser氨基酸,观察响应的 GIT 区域和时间。考虑到FAA刺激物(纯Pro或混合FAA)的不同化学性质以及肽和其他可溶性(主要是蛋白质)的额外存在,这是可以预期的。

激素基因和蛋白质水平的变化不容易解释,因为这些可以具有多种生理作用,在某些情况下在鱼类中尚未完全建立或证实。然而,作为一般观察,我们可以确定FAA(Pro或FM-FAA)的施用似乎对生长素释放肽的合成和分泌具有更强和/或更快的效果,而FM-AQE处理中其他分子(主要是肽)的存在要么减少,要么显着改变了反应的时间(与对照组在20分钟时没有显着差异)。然而,这种治疗在20分钟时被肠道清楚地感觉到,其中这种治疗在近端和中肠的cck和Cck mRNA和蛋白质合成方面产生了至少相似(可能更高)的反应,并且在近端肠中观察到类似的调节Pyy蛋白水平。FM-AQE治疗的其他显着差异是2小时远端肠中GCG的上调,以及2小时近端和远端肠中tas1r1的表达增加。此外,在三种测试的治疗中,与对照组相比,FM-AQE在调节采食量的下丘脑途径中总体上显示出较少的影响。这与FM-FAA治疗形成鲜明对比,后者的效果最强。因此,鱼粉中额外的可溶性成分强烈地改变了关键肠脑通讯通路的反应,或者至少改变了这些机制的时空动力学。然而,这不能确定,因为本研究只检查了两个时间点。

另一方面,管理单一的FAA(Pro)或FAA的混合物也产生了明显的差异,模仿FM水提取物(含有19种氨基酸,包括tau,Ala,Leu,Lys,Phe,Arg,Glu首码项目,Val,His,Iso,Thr,Tyr,Gly,Met,Asp,Ser,Trp,Pro,Asn,递减顺序),其中Pro占

目前对鱼类这些复杂过程的认识仍处于非常早期的阶段,因此无法预测观察到的变化的最终生理和生产(例如采食量)结果。然而,它们清楚地证明了虹鳟鱼GIT沿线不同系统单独或模拟鱼粉FAA组成的复杂混合物中检测氨基酸水平的能力。对这些氨基酸的感知不仅通过胃肠道激素分泌的变化引发原位和外周反应,而且还通过肠脑轴引起下丘脑控制采食量的机制中枢水平的反应。这些机制的表征将是了解鱼粉成分在调节水产养殖鱼类采食量中的重要性的关键。

发表回复

您的电子邮箱地址不会被公开。 必填项已用*标注