肥东星光国际广场微博_微博广场_天涯微博广场

“对商业的进步永葆好奇心”

撰文| Lori

制表 | 厚道

正文共计2197字/6图,正常阅读需5分钟

天涯微博广场_微博广场_肥东星光国际广场微博

特别说明:

本文数据来源于清博数据平台,样本项目参照CRR统一的项目名单。其中,因清博数据对部分项目尚未纳入原始数据库,因此个别项目或暂未出现在实际统计样本之内。如有满足筛选条件却并未纳入统计的项目创业项目,可邮件至lori@magicgell.com,CRR CHINA会对项目进行综合评估,按月为单位对项目进行一次检查更新。

全国DCI第四十二期,样本数涉及全国94个微信运营账号(订阅号与服务号拉通排名,按清博大数据平台收录为准),87个微博运营账号。最终生成的榜单为:微信WCI榜单TOP50,微博BCI榜单TOP30,以及综合DCI榜单TOP20。

天涯微博广场_肥东星光国际广场微博_微博广场

PART 1

第42期微信WCI榜单TOP50

微信榜单前三变化不大,依旧是老面孔——赛格国际、龙湖重庆时代天街、杭州大厦购物城。其中,拿下榜首的赛格国际上周的微信文章总阅读量高达16W+,头条阅读也突破了10W+,WCI指数895.08,遥遥领先。亚军龙湖重庆时代天街也凭借唯一的一条推送内容勉强进入了800+的分数段。

每日不间断地发布31条推文的武商广场购物中心排名第四,总阅读量仅次于冠军赛格国际,不过后者仅推送了一次,共计7片图文消息。武商广场购物中心和排在它前一位的杭州大厦购物城,共同处于榜单的700-800分数段。

来自上海的iapm商场本期进入微信榜单前五,成都远洋太古里和武汉荟聚中心分列6、7位。进入前十的项目中,重庆与武汉都各占据了两个席位。

从整个微信WCI榜单TOP50来看,武汉与上海在12大城市中占据优势,上周皆录得6个账号上榜;

北京、天津、南京以及重庆,共享第二梯队,都有5个账号录入本期榜单;

成都、广州和杭州分别有4个账号上榜,不过成都的四个席位中,成都远洋太古里的两个账号都位列其中,因此可见,成都商业项目在上周的微信运营情况整体欠佳。

天涯微博广场_肥东星光国际广场微博_微博广场

PART 2

第42期微博BCI榜单TOP30

本期微博榜单的冠军再次易主,重庆协信星光时代广场空降榜单并坐上了第一名的宝座。上周微博广场,重庆协信星光时代广场发布了12条原创微博,收获了2000+的转发数,和近700的评论,975.33的BCI分值,与排名第二的上海环贸广场iapm拉开了将近120的分差。

本周的亚军和季军——上海环贸广场iapm与广州天汇广场igc之间,倒是分值咬得比较紧,一个以发博量取胜,一个靠转发量取胜,并且,广州天汇广场igc还收获了高达1115的点赞数,为本期榜单最高。

成都大悦城本期意外掉出前三,不过从各项数值来看,依然算是发挥正常、表现稳定,最终排在第四位。武汉群光广场在上周的发博数量高于成都大悦城,无奈互动情况欠佳,只能屈居第五位。

北京、广州和重庆都在上周的微博运营方面表现不错,纷纷占据了4个席位;成都与上海各有3个项目上榜;剩余项目中,深圳、西安都仅有一个项目进入本期微博榜单。

天涯微博广场_肥东星光国际广场微博_微博广场

PART 3

第42期综合DCI榜单TOP20

微博广场_天涯微博广场_肥东星光国际广场微博

龙湖重庆时代天街稳如泰山,继续霸占冠军宝座,双平台数据都表现均衡,且相对领先。同样较稳的,还有亚军赛格国际,尽管微博、微信大平台的表现有一定差距,但综合实力依然靠前。而相较之下微博广场,iapm商场则凭借差距偏小的双微平台数据,拿走了季军,

成都远洋太古里本周进入综合DCI榜单前五,位列第4,排名上升明显。虽然其一直是各个榜单的常客,但出现在如此靠前的位置,其实并不太多见。

反倒是成都大悦城,由于上周微信运营未发布消息,本期意外掉出DCI榜单TOP20。

武商广场购物中心可谓是凭微信的“一己之力”挤进了DCI榜单TOP20,其上周的微博BCI值仅119.78,与微信WCI值相差600余分。

城市综合排名层面,上海独领风骚,在前20中拿走了4个名额;新一线城市的两大代表——成都与杭州并驾齐驱,各有3个项目上榜;而深圳与天津本期则双双挂零,没有项目进入前20强。

免责声明:榜单数据来源于清博大数据平台,CRR CHINA仅做整理与分析,对原始数据精准性不负有责任;如无特殊情况,数据抓取时间为每周一;综合DCI榜单为手动筛选(微信+微博),如有错漏,敬请谅解,且欢迎留言告知。

什么是DCI?

DCI是Digital Communication Index的首字母缩写,意即“数字化营销指数”。目前,CRR的DCI是由WCI和BCI两个部分组成,分别代表微信运营指数和微博运营指数,仅针对国内12座城市的98个商业项目进行统计分析。具体计算方式如下:

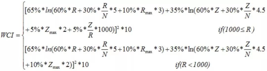
WCI的计算方式:

微博广场_肥东星光国际广场微博_天涯微博广场

其中,R为评估时间段内所有文章(n)的阅读总数;Z为评估时间段内所有文章(n)的点赞总数;d为评估时间段所含天数(一般周取7天,月度取30天,年度取365天,其他自定义时间段以真实天数计算);n为评估时间段内账号所发文章数;Rmax和Zmax为评估时间段内账号所发文章的最高阅读数和最高点赞数;此外,当In(X=0)或In(X<0)时,取值为0。

BCI的计算方式:

BCI=(20%*W1+80%*W2)*160

W1=30%*In(X1+1)+70%*In(X2+1)

W2=20%*In(X3+1)+20%*In(X4+1)+20%*(X5+1) +25%*In(X6+1)+ 10%*In(X7+1)

DCI的计算方式:

DCI=WCI/70%+BCI/30%

– THE END –

微博广场_天涯微博广场_肥东星光国际广场微博

微博广场_肥东星光国际广场微博_天涯微博广场

肥东星光国际广场微博_微博广场_天涯微博广场

独到视角 | 犀利表达 | 客观评述

自2015年10月至今,『商业地产志』(China Commercial Real Estate & Retail,缩写为CRR CHINA,以下简称CRR)已稳定运营3年多。

CRR是以商业地产及实体零售为细分关注领域的自媒体,三年多来,我们以独到的行业视角及客观的行业态度,对商业地产及实体零售行业的新闻、热点动态、趣闻八卦进行不聒噪的专业记录、发布行业核心论点、记录行业发展动态、伴随中国商业地产及零售领域的稳步成长。

2018年起,CRR CHINA开始拓展全国商业地产及实体零售行业的优质原创内容,目前已经在上海、成都、杭州、西安、重庆等城市建立起合作记者站及合作媒体站,更多城市合作伙伴亦在招募中。

内容合作及城市加盟请联络:terry@magicgell.com。

发表回复

您的电子邮箱地址不会被公开。 必填项已用*标注