要加工资:先加关注,关注下方电力安全生产教育的公众号 ↓↓ 在右上角→“关注”为电力安全操碎了心的电力鹰。

挠度是什么意思_预拱度和挠度是什么意思_弓箭挠度是什么意思

电厂安全生产,重在预防!我们从真实事故中汲取教训,深入剖析原因,为您提供最有效的预防措施。我们为您提供电厂全方位的安全生产智能化建设方案,包括:重大危险源检测与评估、监控、安全生产检查评价、咨询标准化建设、安全生产宣传教育、现场隐患发现与报告等。我们帮助您预防锅炉MFT、误操作、事故扩大等风险,让您的电厂安全生产更智能、更安全!

一次疏忽行为,可能酿成弥天大祸!!!

100-1=0!

法律顾问:张友全律师

弓箭挠度是什么意思_挠度是什么意思_预拱度和挠度是什么意思

正文:

关于火电厂管道支吊架最大间距相关计算讨论

本人对相关规范中支吊架最大间距计算公式进行了校验,给出了详细推导过程,期间发现了一些问题,希望各位专家指正。

挠度是什么意思_弓箭挠度是什么意思_预拱度和挠度是什么意思

火电厂管道支吊架间距计算公式根据《火力发电厂汽水管道设计规范》(DL/T 5054-2016,后文若出现简称为新管规)确定,该规范以后若有更新,按最新版确定。在《电厂动力管道设计规范》(GB50764-2012,后文若出现简称为动规)中对支吊架最大间距也有规定,其公式与新管规一致。

一:支吊架间距计算分类

支吊架最大间距的计算是指水平管道上两简支支撑之间的管道最大长度的计算,实际上是将管道简化为简支梁。单个简支梁结构在真实管道约束中并不存在,做这种简化应该是考虑到管道布置时连续简支约束出现的频率最多。(本文中若用到“应该”一词,则其后内容为本人臆测内容,不代表官方观点,后同。)

目前的管道最大间距计算考虑两种条件,即刚度条件与强度条件。刚度条件下对管道的变形进行限制,即简支梁在重力或其他持续外载作用下最大挠度不应超过2.5mm。强度条件对管道弯曲应力进行限制,即简支梁在重力或其他持续外载作用下最大弯曲应力不应超过16MPa。

二:新旧规范对比

老管规(DL/T 5054-1996)中刚度条件与强度条件下这两个值分别为2.62mm和23.5MPa。从数值上来看,新管规对支吊架间距的计算更为保守,应该是从安全角度出发考虑。

有意思的是老管规对刚度条件进行说明时并不是先给出最大挠度的概念,而是给出一阶固有频率的概念,从固有频率的限制再引出挠度的限制。新管规和动规对此避而不提,直接给出挠度限制条件。个人认为老管规的编写者对管道系统理解更深,固有频率属于振动力学范畴,与管道刚度有关,老管规的规定应该是考虑到外界振动对管系的影响,限制了最小固有频率,防止固有频率过低引发共振。

然而无论规范的编者如何考虑这一问题,总之最后都归结到挠度的限制上,这样在做计算时也更直接一些。

在公式各参数的说明上,老管规对单位长管道自重q的量纲规定为kN/m,对弹性模量规定为kN/mm^2,对应新管规和动规,这两个量纲分别为N/m和MPa,其他相同。新管规和动规考虑了集中荷载P,量纲为N,老管规中没考虑。由于公众号无法编辑公式,因此具体公式在下文会以截图的形式给出。

三:刚度条件下支吊架间距计算

管规中刚度条件下支吊架最大间距计算公式为:

预拱度和挠度是什么意思_挠度是什么意思_弓箭挠度是什么意思

上式中不仅考虑了均布荷载对间距的影响,还考虑了集中荷载对间距的影响。实际计算中我们只考虑均布荷载,因为均布荷载比较固定,主要包含管重、保温重、介质重。在设计参数和管道规格确定的情况下,这些值也会随之确定。而集中荷载主要指阀门、三通这些管件,自身重量远大于相同长度管道重量的地方。集中荷载不是处处都有,重量也各不相同,实际计算没法统一考虑,可以作为特定布置处间距校核用。若不考虑集中荷载,则支吊架最大间距计算公式可变换为:

挠度是什么意思_弓箭挠度是什么意思_预拱度和挠度是什么意思

由(T1-1)得:

弓箭挠度是什么意思_预拱度和挠度是什么意思_挠度是什么意思

将(T1-2)中量纲由新管规量纲进行替换得:

预拱度和挠度是什么意思_弓箭挠度是什么意思_挠度是什么意思

新管规中最终结果为:

挠度是什么意思_预拱度和挠度是什么意思_弓箭挠度是什么意思

因此(T1-3)与(DL/T 5054-2016: 8.2.3-2)一致,新管规结果得到验证。

四:强度条件下支吊架间距计算

管规中强度条件下支吊架最大间距计算公式为:

挠度是什么意思_弓箭挠度是什么意思_预拱度和挠度是什么意思

若不考虑集中荷载作用,可变换为:

预拱度和挠度是什么意思_弓箭挠度是什么意思_挠度是什么意思

由(T2-1)得:

弓箭挠度是什么意思_挠度是什么意思_预拱度和挠度是什么意思

将(T2-2)中量纲由新管规量纲进行替换得:

新管规中最终结果为:

预拱度和挠度是什么意思_挠度是什么意思_弓箭挠度是什么意思

因此(T2-3)与(DL/T 5054-2016: 8.2.4-2)不一致,新管规结果验证失败。

将均布荷载q量纲换为老管规量纲(KN/m),则(T2-3)变为:

弓箭挠度是什么意思_预拱度和挠度是什么意思_挠度是什么意思

因此(T2-4)与(DL/T 5054-2016: 8.2.4-2)一致,新管规结果得到验证。

结论:新管规在计算强度条件下最大间距时给出的均布力q量纲有误。

五:一阶固有频率推导

通过对刚度的计算,我们可以倒推新管规对固有频率的限制,推导过程如下:

由振动力学知,简支等截面梁的一阶固有角频率为:

预拱度和挠度是什么意思_挠度是什么意思_弓箭挠度是什么意思

由此可知:

挠度是什么意思_预拱度和挠度是什么意思_弓箭挠度是什么意思

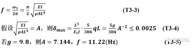
式(T3-1)对应一阶固有频率为:

弓箭挠度是什么意思_预拱度和挠度是什么意思_挠度是什么意思

由(T3-5)计算得到刚度条件下挠度是什么意思,新管规允许的最小一阶固有频率为11.22Hz。

对于老管规,挠度不大于2.62mm的情况下,一阶固有频率为10.96Hz。老管规中规定一阶固有频率应大于3.5Hz,这个频率的得来是将频率计算时均布重量单位为kg/m和挠度计算时均布力单位为N/m混淆的结果,即规范的编者认为二者相同,忽略了二者之间的重力加速度,所以该值没有实际意义。

对于一阶固有频率的推导可以在CAESAR II或其他有限元计算软件中进行验证,本人做了两次验证,频率均在11Hz左右,忽略有限元计算与理论计算的偏差挠度是什么意思,这一结果与理论计算值是相符的。

结论:老管规对一阶固有频率的规定有误,一阶固有频率应不小于10.96Hz,而非3.5Hz。

以上发现问题也可能是本人理解不到位,欢迎大家拍砖。

发表回复

您的电子邮箱地址不会被公开。 必填项已用*标注