化学中考专题复习:2023年中考元素或物质推断题二
非常重要:因为微信推荐规则变化,如果不加星标★,慢慢就看不到我们文章推送了。为避免错过好文,请点击上方蓝字“化学阳光驿站”,再点击右上角“……”,将本号设为星标★和“关注”,以后就可以第一时间收到我们的重磅干货文章了(只要星标和关注后就可以看到所有过去的文章啦),分享给更多需要的朋友,供参考交流。
【友情提供】
【黄冈孝感咸宁三市】2023年中考化学 模拟预测试卷(含答案):
【黄冈 孝感 咸宁三市】2023年化学中考综合评价试题(含答案):
2023年中考元素或物质推断题二
1.(2022·湖北孝感·校考模拟预测)有限的元素可组成种类繁多的物质,依据表中的元素回答下列问题。
元素名称
氢
碳
氧
铜
铁
元素符号
H
C
O
Cu
Fe
(1)若某物质是菱铁矿的主要成分,该物质的化学式是___________;
(2)若某液态物质在氧气中燃烧,能生成两种氧化物,该物质名称是___________;
(3)若某元素组成的单质及其氧化物,均能和X发生化合反应生成同一种物质。任写一个相关反应的化学方程式___________。
(4)初中化学中几种常见之间的相互转化关系如图所示。
若甲为单质,其他物质都是氧化物,则甲的化学式为___________,甲与乙反应的化学方程式可能是___________。
2.(2022·湖北随州·统考二模)甲、乙、丙、丁是初中化学常见的四种物质,它们之间存在如图所示的变化关系,其中“→”表示转化关系,“﹣”表示相互之间能反应(部分反应物、生成物以及反应条件省略).
(1)若甲、乙、丙的颜色、状态(常温时)和物质类别如下 :
颜色
状态
物质类别
甲
红色
固体
氧化物
乙
黑
固体
单质
丙
无色
气体
氧化物
则丁物质可能是_________(填化学式)。
(2)若甲、乙、丙、丁属于不同类别的物质。甲是目前世界上年产量最高的金属,乙的溶液中阳离子只有氢离子,丙属于硫酸盐且其溶液为蓝色。
①写出甲与丙反应的化学方程式_______,该反应的基本类型是_________。
②丁物质_________(填“一定”或“可能”)属于氧化物。
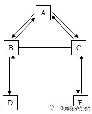
3.(2022·山西·统考模拟预测)A~E是初中化学常见的五种纯净物,B与C的溶液均呈碱性,D是一种单质,它们之间的关系如下图所示。“一”表示相连的物质能发生反应,“→”表示一种物质可通过一步反应生成另一种物质。
请回答下列问题:
(1)A→HCl的化学方程式是______。
(2)B与C反应的微观实质是______。
(3)D与HCl反应的现象是______。
(4)D与E反应的化学方程式是______。
4.(2022·福建福州·统考二模)如图所示“雪花”各瓣代表的物质A~F,通过一步反应均可生成硫酸亚铁。A为铁,B和F属于盐,C、D、E属于其它不同类别的纯净物(或其溶液)。
(1)若E为酸
①E的化学式为______。
②“D→FeSO4”发生中和反应,该反应化学方程式为______。
③B、C均与E反应生成FeSO4,则B为______(填化学式、下同)、C为______。
(2)若F为黄色溶液,F与铁通过化合反应生成FeSO4,该反应化学方程式为______。
5.(2022·广西南宁·统考一模)在玩“密室逃脱”游戏时,小春拿到如下图的逃脱路线图:图中8个编号对应初中8种常见物质,其中①④⑤⑥⑦属于不同类别的物质。“一” 表示相邻两种物质能反应,即可通行,“—”表示相邻两种物质不能反应,即不可通行。请你帮他顺利逃出密室。
(1)物质①在金属活动性顺序中排第四,物质⑤是一种黑色固体。写出它们的化学式:①______,⑤______。
(2)物质⑥属于______(填物质类别)。
(3)在⑤和⑧的反应中,CO发生______反应 (填“氧化”或“还原”)。
(4)写出一个符合④—⑦反应的化学方程式是______。
6.(2022·江西·校联考二模)2022年2月18日,北京冬奥会自由式滑雪女子U形场地技巧赛决赛中,中国选手谷爱凌夺冠,为中国代表团摘得第8金。下图是自由式滑雪女子U形场地简化示意图。图中A~G均为初中化学常见物质,“一”表示相互能反应,“→”表示转化关系,部分物质和反应条件已略去。A是一种常见的温室气体,E是大理石的主要成分,D是常见的溶剂。
(1)A的化学式是______。
(2)G在农业上的一种用途是______。
(3)C—D反应的化学方程式为______。
(4)A、B、C、D、E、G六种物质中,能与F发生中和反应的有______(填字母)。
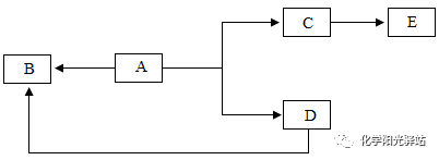
7.(2018·云南普洱·统考二模)A、B、C、D、E、F是初中化学常见的物质,A、C、D、F均为气体,且A为生命必需的气体,C为光合作用必需的气体,D为最轻的气体,F为沼气的主要成分。它们之间的转化关系如下图所示,根据信息和图示回答问题(反应条件和部分生成物已略去)。
(1)B的化学式________;E的化学式_________。
(2)写出A+F→B+C反应的化学方程式:__________。
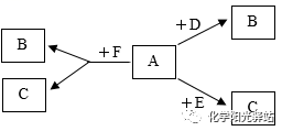
8.(2018·云南普洱·统考一模)下图中A、B、C、D、E为初中常见的五种物质,它们之间存在着如下图所示的转化关系。已知A的俗名为纯碱,B为无色气体,D是石灰石的主要成分,E是蓝色沉淀。根据信息和图示回答问题(反应条件和部分生成物已略去)。
(1)B的化学式_______;C的化学式_______。
(2)写出A→B反应的化学方程式:_______。
9.(2022·河南南阳·统考一模)A、B、C、D是初中化学常见的物质,物质之间的转化关系如右图所示。
(1)若A、C是氧化物,D是相对分子量为100的一种白色固体,其中金属元素所占质量分数为40%,则反应的化学方程式为_______;该反应的一种用途是_______。
(2)若A、C属于碱,B的俗名为纯碱,则反应的化学方程式为_______。
(3)若A、C是元素组成相同的气态化合物,则A、C化学性质不同的原因是_______。
10.(2021·新疆乌鲁木齐·校考二模)实验室有一包白色粉末,可能是由NaOH、
、
、NaCl中的一种或几种组成。为了分析它的成分,化学兴趣小组取少量该白色粉末,按以下步骤进行实验:
每一步都加入足量的试剂,记录的现象如下:
Ⅰ.白色粉末完全溶解,得到无色溶液;
Ⅱ.有白色沉淀A生成;
Ⅲ.沉淀完全溶解,并有无色气体生成;
Ⅳ.有白色沉淀B生成。
请回答下列问题:
(1)白色沉淀B的化学式为_______。
(2)写出第Ⅲ步反应的化学方程式:_______。
(3)根据实验现象可以判断:原白色粉末中一定有_______,一定没有_______,无法确定是否有_______(以上三空均填化学式)。
11.(2022·河南周口·统考一模)甲、乙、丙、丁均为初中化学常见的物质。甲、乙是组成元素相同的两种气体,丙为紫红色金属单质。它们有如图所示的转化关系(“→”表示反应一步实现,部分物质和反应条件已略去)。
(1)丁的化学式为______。
(2)乙→丙的化学方程式为______。
(3)写出甲的一种用途______。
12.(2022·福建泉州·统考模拟预测)如图所示,甲、乙、丙是初中化学常见的物质,图中“一”表示相连的物质之间可以在溶液中发生化学反应,“→”表示由某种物质可转化为另一种物质(部分反应物、生成物及反应条件已略去)。(微溶物视为可溶)
(1)乙的化学式为________,丙所属的物质类别是_______。
(2)氢氧化钙在生活、生产中有广泛的用途,写出氢氧化钙的一种用途:_______。
(3)当甲为某种碱时,它与碱溶液反应能同时生成两种沉淀,写出该反应的化学方程式:_______,该反应所属的基本类型是_______。
13.(2022·河南商丘·校考二模)已知甲、乙、丙、X、Y、Z均为初中化学常见物质,甲是一种暗紫色固体,乙、丙为氧化物,X、Y为单质,Z为盐,其中乙是有毒气体,丙为有磁性的黑色固体,Z中只含有两种元素。它们的转化关系如下图所示(部分反应物、生成物及反应条件已略去)。甲→X的反应基本类型为________;Z的化学式为________;X→丙的化学方程式为_________。
14.(2022·辽宁·校联考三模)A~E为初中化学常见的五种物质,且均含有同一种元素。已知A和B常温下为气体,且A为单质,D是可用于工业上生产玻璃的一种盐,E的俗称为消石灰。它们之间有如图所示的转化关系(“→”表示某一种物质经一步反应可转化为另一种物质,“一“表示相连的两物质能发生化学反应,部分反应物、生成物及反应条件已略去)。
(1)A的化学式为_________。
(2)B和C反应的基本类型是_________。
(3)写出B的一种用途_________。
(4)D和E反应的化学方程式为__________。
15.(2022·江苏泰州·校考三模)图中A-G是初中化学常见的物质,它们之间的转化关系如图所示(“→”表示某一种物质经一步反应可转化为另一种物质食品干燥剂化学式,“一”表示相连的两种物质能发生化学反应,部分反应物、生成物及反应条件已略去。已知:A是大理石的主要成分;B是常用的食品干燥剂;E和F混合可用于配制农药波尔多液。
(1)B的俗称为___________,C的化学式为___________,F溶液的颜色是___________。
(2)E→G的化学方程式为___________,该反应可观察到的现象为___________。
(3)固体D的一种用途是___________。
(4)以上所有反应中未出现的反应类型为___________反应(填基本反应类型)。
16.(2022·天津河北·统考一模)化学实验室有失去标签的盐酸、氢氧化钠、碳酸钾、硝酸钡、硫酸钠五瓶无色溶液,现将其任意编号:A、B、C、D、E,然后两两组合进行实验,其部分现象如下:
A+C→白色沉淀;C+D→白色沉淀;A+B→产生气体:A+E→无现象。
(1)写出溶液A与B反应的化学方程式______。
(2)写出溶液C与D反应的化学方程式______;该反应的基本反应类型为______。
17.(2022·湖北宜昌·统考一模)如图所示,“—”表示相连的两种物质能发生反应,“→”表示一种物质能转化成另一种物质,部分反应物、生成物及反应条件未标出。
(1)若甲是氢氧化钠,则乙是________(写化学式),丁和丙发生反应的化学方程式为__________________。
(2)若乙是氢氧化钠,且甲、乙、丙、丁四种物质分属不同类别,则丁是______(写化学式),“甲→丙”的反应方程式为______________。
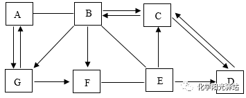
18.(2022·辽宁锦州·统考一模)A~G是初中化学常见的物质,其中A、C、D、E、F是不同类别的物质食品干燥剂化学式,其中A是用来制瓷砖、玻璃、造纸、洗涤剂的原料,F是一种红褐色沉淀,B和E中只含有一种相同的元素。各物质之间的关系如图所示,图中“→”表示由一种物质转化为另一种物质,“一”表示相连的两种物质能发生化学反应,部分反应物和生成物及反应条件已略去。请回答下列问题:
(1)G的化学式是____________。
(2)写出C在工农业生产中的一种用途____________。
(3)A→G反应的实验现象是____________。
(4)E→D反应的化学方程式是____________(写出一个即可,下同)。
(5)B→F反应的化学方程式是____________
《推断题》资料:
专题16 物质的相互反应与转化-2022年中考化学真题分项汇编(全国通用)(第01期):
专题21 物质的推断-2022年中考化学真题分项汇编(全国通用)(第01期):
专题18 物质的检验、鉴别与除杂-2022年中考化学真题分项汇编(全国通用)(第01期):
专题20 流程图题-2022年中考化学真题分项汇编(全国通用)(第01期):
专精特新01 物质转化与推断题(103题)-2022年中考化学专精特新备考题库:
专精特新07 化学工艺流程图题(91题)-2022年化学中考专精特新备考题库:
专精特新06 化学用语题(100题)-2022年化学中考专精特新备考题库:
备战中考化学推断题攻关练记提分秘籍系列:
备战中考化学用语攻关练记提分秘籍:
三市联考(黄冈市、孝感市、咸宁市)化学中考精典复习突破06——填空题:推断题【湖北省黄冈市孝感市咸宁市八年中考一年模拟】:
三市联考(黄冈市、孝感市、咸宁市)化学中考精典复习突破07——填空题:工艺流程图【湖北省黄冈市孝感市咸宁市八年中考一年模拟】:
欢迎关注:名师堂-化学名师资源页面
(快速下载化学好试题)
1、网址:
(1)#filter
(2)
2、【名师堂-化学名师资源页面二维码】
打开名师堂-化学名师资源页面的方法有3种:
1、电脑端用鼠标左键拖着选中页面“”,出现对话框“打开链接”,点击“打开链接”就会快速出现名师堂-化学名师资源页面,如下图;
2、长按名师堂-化学名师资源页面二维码前往小程序(见下图红色箭头部分),点击后进入名师堂-化学名师资源页面;
3、用微信“扫一扫”名师堂-化学名师资源页面二维码,快速进入化学名师名师堂资源页面,
再点击最下面的分享给朋友,下载资料后给予好评价会得
到更多的惊喜】
【温馨提供:化学中考好试题+好资料】
【百强名校】湖北省黄冈重点高中2023年自主招生(理科实验班)提前预录考试化学模拟试题-: 【10份资料】
【百强名校】湖北省黄冈重点高中2022年自主招生(理科实验班)提前预录考试化学模拟试题: 【10份资料】
五年(2018-2022)中考真题化学分项汇编(全国通用): 【31份资料】
2022年中考化学真题分项汇编(全国通用)(第01期): 【26份资料】
【赢在中考·黄金8卷】备战2023年中考化学全真模拟卷(武汉专用): 【8份资料】
2022年中考化学专精特新备考题库:【12份资料】
备战2022年中考化学实验探究题高分突破:【19份资料】
备战2022年中考化学针对性题压轴精讲精练(湖北武汉专用):【7份资料】
九年级化学下册实验探究同步培优练:【15份资料】
2021-2022学年九年级化学上册实验探究同步培优练:【19份资料】
三年(2019-2021)中考真题化学分项汇编(全国通用):【31份资料】
备战中考化学推断题攻关练记提分秘籍系列:【14份资料】
三市联考(黄冈市、孝感市、咸宁市)中考化学精典复习突破【10份资料】
备战2021年中考化学压轴题提分专练(湖北武汉专用)【10份资料】 l
2022年中考化学考前信息必刷卷(湖北黄冈、孝感、咸宁专用)【4份资料】
湖北省黄冈重点高中2021年自主招生(理科实验班)提前预录考试化学模拟试题【10份资料】
